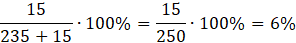
Oblicz, czyja herbata – Asi czy Kasi – ma większe stężenie procentowe cukru, wiedząc, że Asia wsypała do 150 g herbaty 10 g cukru, a Kasia do 235 g herbaty 15 g cukru. Wybierz odpowiednią odpowiedź i uzasadnienie z ramki.
Odp. I. C.
Oblicz stężenie procentowe cukru herbat obu dziewczyn, mnożąc stosunek masy cukru w nich do ich całkowitej masy przez 100%. A następnie ustal, który wynik jest wyższy.
Ćwiczenie 1
8Zadanie 2
10Zadanie 3
10Zadanie 7
11Zadanie 8
11Zadanie Czy już umiem? IV
12Zadanie 1
16Zadanie 2
16Zadanie 4
16Zadanie 5
16Zadanie 8
17Ćwiczenie 1
21Ćwiczenie 2
22Ćwiczenie 3.1
22Ćwiczenie 3.2
22Ćwiczenie 4
23Ćwiczenie 5
24Zadanie 1 poziom A
25Zadanie 1 poziom B
25Zadanie 1 poziom C
25Zadanie 1 poziom D
25Zadanie 2
26Zadanie 4
26Zadanie 5
26Zadanie 6
26Zadanie 8
26Zadanie 9
27Zadanie 11
27Zadanie 12
27Zadanie 13
27Zadanie 15
28Zadanie 16
28Zadanie 18
28Zadanie Dla dociekliwych 1
28Zadanie Czy już umiem? II
29Zadanie Czy już umiem? III
29Zadanie Czy już umiem? V
29Ćwiczenie 1
31Ćwiczenie 2
32Zadanie 1
33Zadanie 2
33Zadanie 3
33Zadanie 8
34Zadanie 10
34Zadanie 12
35Zadanie 13
35Zadanie 14
35Zadanie Dla dociekliwych 1
36Zadanie Czy już umiem? IV
36Ćwiczenie 1
38Ćwiczenie 2
39Zadanie 1 poziom A
39Zadanie 1 poziom B
39Zadanie 1 poziom C
39Zadanie 1 poziom D
39Zadanie 2
40Zadanie 3
40Zadanie 4
40Zadanie 14
41Zadanie Dla dociekliwych 1
42Zadanie Czy już umiem? IV
42Ćwiczenie 1
45Ćwiczenie 3.1
46Zadanie 3
47Zadanie 4
48Zadanie 5
48Zadanie 6
48Zadanie 7
48Zadanie 10
49Zadanie 11
49Zadanie 12
49Zadanie 13
49Zadanie Dla dociekliwych 1
50Zadanie Czy już umiem? II
50Zadanie Czy już umiem? III
50Zadanie 3
55Zadanie 9
56Zadanie 10
56Zadanie 11
56Zadanie 12
56Zadanie Dla dociekliwych 2
57Zadanie Czy już umiem? IV
57Zadanie 2
58Zadanie 8
59Zadanie 11
59Zadanie 12
59Zadanie 2
60Zadanie 5
60Zadanie 4
64Zadanie 5
64Zadanie 7
64Zadanie 9
65