Korzystając z danych podanych w trójkącie na poniższym rysunku, oblicz wartość długości h z dokładnością do 0,1 cm.
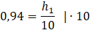
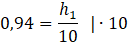
I wysokość dla h poprowadzoną z kąta 50
II wysokość dla h poprowadzoną z kąta o wartości 60°.
III wysokość dla h poprowadzoną z kąta o wartości 20°.
Oblicz wartość 3 kąta. Skorzystaj, że suma kątów w dowolnym trójkącie jest równa 180°.
Oblicz wartość kąta przystającego do 110
I wysokość dla h poprowadzoną z kąta 50
Własności funkcji trygonometrycznych w trójkącie prostokątnym przedstawiają się następująco:
Aby obliczyć h skorzystaj z funkcji
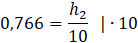
II wysokość dla h poprowadzoną z kąta o wartości 60°.
Aby obliczyć h skorzystaj z funkcji
III wysokość dla h poprowadzoną z kąta o wartości 20°.
Przedłuż podstawę trójkąta na którą będzie padała wysokość.
Zauważ, że trójkąty
Aby obliczyć h skorzystaj z funkcji
Zadanie 8.1.
222Zadanie 8.2.
222Zadanie 8.3.
223Zadanie 8.4.
223Zadanie 8.5.
223Zadanie 8.6.
223Zadanie 8.7.
223Zadanie 8.9.
224Zadanie 8.10.
224Zadanie 8.11.
224Zadanie 8.12.
224Zadanie 8.13.
224Zadanie 8.20.
225Zadanie 8.21.
225Zadanie 8.22.
226Zadanie 8.23.
226Zadanie 8.26.
226Zadanie 8.29.
227Zadanie 8.30.
227Zadanie 8.31.
227Zadanie 8.32.
228Zadanie 8.33.
228Zadanie 8.34.
228Zadanie 8.35.
228Zadanie 8.36.
229Zadanie 8.37.
229Zadanie 8.39.
229Zadanie 8.40.
229Zadanie 8.41.
229Zadanie 8.42.
230Zadanie 8.43.
230Zadanie 8.44.
230Zadanie 8.45.
230Zadanie 8.46.
230Zadanie 8.47.
230Zadanie 8.48.
230Zadanie 8.49.
231Zadanie 8.50.
231Zadanie 8.51.
231Zadanie 8.52.
231Zadanie 8.53.
231Zadanie 8.54.
231Zadanie 8.55.
231Zadanie 8.56.
232Zadanie 8.57.
232Zadanie 8.58.
232Zadanie 8.59.
232Zadanie 8.60.
232Zadanie 16.
234Zadanie 17.
234Zadanie 21.
235Zadanie 24.
235Zadanie 25.
235Zadanie 26.
235Zadanie 27.
235Zadanie 32.
236