Oblicz obwód trójkąta ABC, wykorzystując odpowiednie funkcje trygonometryczne kątów ostrych.
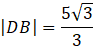
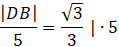
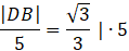
Punkt D jest punktem przecięcia podstawy z wysokością. Skorzystaj z funkcji ctg dla odcinka |AD| oraz |DB|.
Skorzystaj z funkcji sin dla odcinka |CB| oraz |AC|.
Zapoznaj się, jakie wartości przybierają wartości trygonometryczne kątów szczególnych.
Podstaw je do równania i je oblicz.
Pomnóż na krzyż.
Pomnóż na krzyż.
Oblicz obwód trójkąta.
Zadanie 8.1.
222Zadanie 8.2.
222Zadanie 8.3.
223Zadanie 8.4.
223Zadanie 8.5.
223Zadanie 8.6.
223Zadanie 8.7.
223Zadanie 8.9.
224Zadanie 8.10.
224Zadanie 8.11.
224Zadanie 8.12.
224Zadanie 8.13.
224Zadanie 8.20.
225Zadanie 8.21.
225Zadanie 8.22.
226Zadanie 8.23.
226Zadanie 8.26.
226Zadanie 8.29.
227Zadanie 8.30.
227Zadanie 8.31.
227Zadanie 8.32.
228Zadanie 8.33.
228Zadanie 8.34.
228Zadanie 8.35.
228Zadanie 8.36.
229Zadanie 8.37.
229Zadanie 8.39.
229Zadanie 8.40.
229Zadanie 8.41.
229Zadanie 8.42.
230Zadanie 8.43.
230Zadanie 8.44.
230Zadanie 8.45.
230Zadanie 8.46.
230Zadanie 8.47.
230Zadanie 8.48.
230Zadanie 8.49.
231Zadanie 8.50.
231Zadanie 8.51.
231Zadanie 8.52.
231Zadanie 8.53.
231Zadanie 8.54.
231Zadanie 8.55.
231Zadanie 8.56.
232Zadanie 8.57.
232Zadanie 8.58.
232Zadanie 8.59.
232Zadanie 8.60.
232Zadanie 16.
234Zadanie 17.
234Zadanie 21.
235Zadanie 24.
235Zadanie 25.
235Zadanie 26.
235Zadanie 27.
235Zadanie 32.
236