Korzystając z danych podanych w trójkącie na poniższym rysunku, oblicz wartość długości h z dokładnością do 0,1 cm.
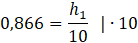
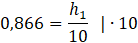
I wysokość dla h poprowadzoną z kąta o wartości 75°.
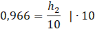
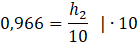
II wysokość dla h poprowadzoną z kąta o wartości 60°.
Czyli długość podstawy jest równa
III wysokość dla h poprowadzoną z kąta o wartości 45°.
I wysokość dla h poprowadzoną z kąta o wartości 75°.
Własności funkcji trygonometrycznych w trójkącie prostokątnym przedstawiają się następująco:
Aby obliczyć h skorzystaj z funkcji
II wysokość dla h poprowadzoną z kąta o wartości 60°.
Aby obliczyć h skorzystaj z funkcji
Oblicz miarę trzeciego kąta. Skorzystaj, że suma kątów w dowolnym trójkącie jest równa 180°.
Czyli z
Czyli długość podstawy jest równa
III wysokość dla h poprowadzoną z kąta o wartości 45°.
Aby obliczyć h skorzystaj z funkcji
Zadanie 8.1.
222Zadanie 8.2.
222Zadanie 8.3.
223Zadanie 8.4.
223Zadanie 8.5.
223Zadanie 8.6.
223Zadanie 8.7.
223Zadanie 8.9.
224Zadanie 8.10.
224Zadanie 8.11.
224Zadanie 8.12.
224Zadanie 8.13.
224Zadanie 8.20.
225Zadanie 8.21.
225Zadanie 8.22.
226Zadanie 8.23.
226Zadanie 8.26.
226Zadanie 8.29.
227Zadanie 8.30.
227Zadanie 8.31.
227Zadanie 8.32.
228Zadanie 8.33.
228Zadanie 8.34.
228Zadanie 8.35.
228Zadanie 8.36.
229Zadanie 8.37.
229Zadanie 8.39.
229Zadanie 8.40.
229Zadanie 8.41.
229Zadanie 8.42.
230Zadanie 8.43.
230Zadanie 8.44.
230Zadanie 8.45.
230Zadanie 8.46.
230Zadanie 8.47.
230Zadanie 8.48.
230Zadanie 8.49.
231Zadanie 8.50.
231Zadanie 8.51.
231Zadanie 8.52.
231Zadanie 8.53.
231Zadanie 8.54.
231Zadanie 8.55.
231Zadanie 8.56.
232Zadanie 8.57.
232Zadanie 8.58.
232Zadanie 8.59.
232Zadanie 8.60.
232Zadanie 16.
234Zadanie 17.
234Zadanie 21.
235Zadanie 24.
235Zadanie 25.
235Zadanie 26.
235Zadanie 27.
235Zadanie 32.
236