W tym zadaniu musisz obliczyć pod jakim kątem padają promienie słoneczne
Zilustruj to.
Korzystając z własności funkcji trygonometrycznych na podstawie rysunku poniżej:
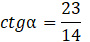
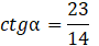
Korzystając z funkcji ctg oblicz α kąta.
Zadanie 8.1.
222Zadanie 8.2.
222Zadanie 8.3.
223Zadanie 8.4.
223Zadanie 8.5.
223Zadanie 8.6.
223Zadanie 8.7.
223Zadanie 8.9.
224Zadanie 8.10.
224Zadanie 8.11.
224Zadanie 8.12.
224Zadanie 8.13.
224Zadanie 8.20.
225Zadanie 8.21.
225Zadanie 8.22.
226Zadanie 8.23.
226Zadanie 8.26.
226Zadanie 8.29.
227Zadanie 8.30.
227Zadanie 8.31.
227Zadanie 8.32.
228Zadanie 8.33.
228Zadanie 8.34.
228Zadanie 8.35.
228Zadanie 8.36.
229Zadanie 8.37.
229Zadanie 8.39.
229Zadanie 8.40.
229Zadanie 8.41.
229Zadanie 8.42.
230Zadanie 8.43.
230Zadanie 8.44.
230Zadanie 8.45.
230Zadanie 8.46.
230Zadanie 8.47.
230Zadanie 8.48.
230Zadanie 8.49.
231Zadanie 8.50.
231Zadanie 8.51.
231Zadanie 8.52.
231Zadanie 8.53.
231Zadanie 8.54.
231Zadanie 8.55.
231Zadanie 8.56.
232Zadanie 8.57.
232Zadanie 8.58.
232Zadanie 8.59.
232Zadanie 8.60.
232Zadanie 16.
234Zadanie 17.
234Zadanie 21.
235Zadanie 24.
235Zadanie 25.
235Zadanie 26.
235Zadanie 27.
235Zadanie 32.
236