W pewnym prostokącie, gdzie przekątna ma długość d =
Rozważ własności funkcji trygonometrycznych na podstawie rysunku.
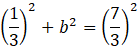
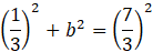
Wypisz dane uwzględniając rysunek:
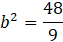
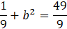
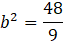
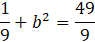
Teraz oblicz resztę z twierdzenia Pitagorasa.
Teraz oblicz obwód prostokąta.
Zadanie 8.1.
222Zadanie 8.2.
222Zadanie 8.3.
223Zadanie 8.4.
223Zadanie 8.5.
223Zadanie 8.6.
223Zadanie 8.7.
223Zadanie 8.9.
224Zadanie 8.10.
224Zadanie 8.11.
224Zadanie 8.12.
224Zadanie 8.13.
224Zadanie 8.20.
225Zadanie 8.21.
225Zadanie 8.22.
226Zadanie 8.23.
226Zadanie 8.26.
226Zadanie 8.29.
227Zadanie 8.30.
227Zadanie 8.31.
227Zadanie 8.32.
228Zadanie 8.33.
228Zadanie 8.34.
228Zadanie 8.35.
228Zadanie 8.36.
229Zadanie 8.37.
229Zadanie 8.39.
229Zadanie 8.40.
229Zadanie 8.41.
229Zadanie 8.42.
230Zadanie 8.43.
230Zadanie 8.44.
230Zadanie 8.45.
230Zadanie 8.46.
230Zadanie 8.47.
230Zadanie 8.48.
230Zadanie 8.49.
231Zadanie 8.50.
231Zadanie 8.51.
231Zadanie 8.52.
231Zadanie 8.53.
231Zadanie 8.54.
231Zadanie 8.55.
231Zadanie 8.56.
232Zadanie 8.57.
232Zadanie 8.58.
232Zadanie 8.59.
232Zadanie 8.60.
232Zadanie 16.
234Zadanie 17.
234Zadanie 21.
235Zadanie 24.
235Zadanie 25.
235Zadanie 26.
235Zadanie 27.
235Zadanie 32.
236