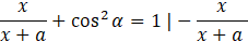
Udowodnij, że jeśli dla dowolnych kątów ostrych α i β oraz dodatnich liczb x i a prawdziwe są równości
Założenie:
Teza:
Zadanie:
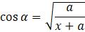
Przekształć dane wyrażenia.
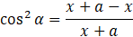
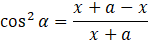
Wykorzystaj jedynkę trygonometryczną.
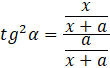
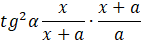
Podstaw dane.
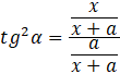
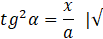
Skorzystaj ze wzoru na tangens. Podstaw dane.
Z założenia:
Zadanie 8.1.
222Zadanie 8.2.
222Zadanie 8.3.
223Zadanie 8.4.
223Zadanie 8.5.
223Zadanie 8.6.
223Zadanie 8.7.
223Zadanie 8.9.
224Zadanie 8.10.
224Zadanie 8.11.
224Zadanie 8.12.
224Zadanie 8.13.
224Zadanie 8.20.
225Zadanie 8.21.
225Zadanie 8.22.
226Zadanie 8.23.
226Zadanie 8.26.
226Zadanie 8.29.
227Zadanie 8.30.
227Zadanie 8.31.
227Zadanie 8.32.
228Zadanie 8.33.
228Zadanie 8.34.
228Zadanie 8.35.
228Zadanie 8.36.
229Zadanie 8.37.
229Zadanie 8.39.
229Zadanie 8.40.
229Zadanie 8.41.
229Zadanie 8.42.
230Zadanie 8.43.
230Zadanie 8.44.
230Zadanie 8.45.
230Zadanie 8.46.
230Zadanie 8.47.
230Zadanie 8.48.
230Zadanie 8.49.
231Zadanie 8.50.
231Zadanie 8.51.
231Zadanie 8.52.
231Zadanie 8.53.
231Zadanie 8.54.
231Zadanie 8.55.
231Zadanie 8.56.
232Zadanie 8.57.
232Zadanie 8.58.
232Zadanie 8.59.
232Zadanie 8.60.
232Zadanie 16.
234Zadanie 17.
234Zadanie 21.
235Zadanie 24.
235Zadanie 25.
235Zadanie 26.
235Zadanie 27.
235Zadanie 32.
236