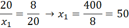
Musisz ustalić dla jakich długości drugiego boku prostokąta będzie zachodzić zadana zależność.
Istnieją dwie możliwości, żeby prostokąt był podobny do prostokąta o wymiarach 8 x 20 cm:
Niech x1, x2 – długości drugiego boku
Jeżeli bok o długości 20 cm analizowanego prostokąta jest krótszym bokiem, to:
Jeżeli bok o długości 20 cm analizowanego prostokąta jest dłuższym bokiem, to:
Ćwiczenie 1
202Ćwiczenie 2
202Ćwiczenie 4
202Zadanie 9.1
203Zadanie 9.4
203Zadanie 9.7
203Zadanie 9.9
203Ćwiczenie 5
205Ćwiczenie 6
206Ćwiczenie 8
207Ćwiczenie 9
208Zadanie 9.11
209Zadanie 9.19
209Ćwiczenie 11
211Ćwiczenie 12
212Ćwiczenie 14
214Zadanie 9.23
214Ćwiczenie 15
215Ćwiczenie 18
217Ćwiczenie 20
217Ćwiczenie 21
217Ćwiczenie 22
217Ćwiczenie 23
218Ćwiczenie 25
219Zadanie 9.32
219Zadanie 9.34
220Zadanie 9.35
220Zadanie 9.36
220Zadanie 9.37
220Zadanie 9.39
221Zadanie 9.40
221Ćwiczenie 27
222Ćwiczenie 28
223Zadanie 9.42
225Zadanie 9.45
225Zadanie 9.46
225