Musisz obliczyć skalę proporcjonalności boków planu oraz kartki i z obliczonych wywnioskować jaka może być maksymalna skala szkicu.
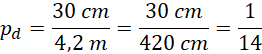
Janek musi narysować plan w skali 1:14.
Proporcja dłuższych boków prostokątów:
Proporcja krótszych boków prostokątów:
Zakładając, że szkic pokoju może zajmować całą powierzchnię kartki, musimy wybrać mniejszą z obliczonych skali, tak by oba wymiary mogły się zmieścić na kartce. Tak więc największą możliwą skalą jest skala 1:14.
Ćwiczenie 1
202Ćwiczenie 2
202Ćwiczenie 4
202Zadanie 9.1
203Zadanie 9.4
203Zadanie 9.7
203Zadanie 9.9
203Ćwiczenie 5
205Ćwiczenie 6
206Ćwiczenie 8
207Ćwiczenie 9
208Zadanie 9.11
209Zadanie 9.19
209Ćwiczenie 11
211Ćwiczenie 12
212Ćwiczenie 14
214Zadanie 9.23
214Ćwiczenie 15
215Ćwiczenie 18
217Ćwiczenie 20
217Ćwiczenie 21
217Ćwiczenie 22
217Ćwiczenie 23
218Ćwiczenie 25
219Zadanie 9.32
219Zadanie 9.34
220Zadanie 9.35
220Zadanie 9.36
220Zadanie 9.37
220Zadanie 9.39
221Zadanie 9.40
221Ćwiczenie 27
222Ćwiczenie 28
223Zadanie 9.42
225Zadanie 9.45
225Zadanie 9.46
225