Musisz zapisać dwa osobne twierdzenia Talesa i po kolei obliczyć każdą z niewiadomych. Przydatna będzie wiedza z układów równań.
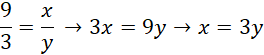
Z pierwszego twierdzenia Talesa:
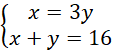
Wykorzystując równanie z polecenia możemy zbudować układ równań:
Gdzie, podstawiając pierwsze równanie do drugiego równania, otrzymamy:
Wracając do pierwszego równania:
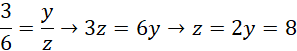
Teraz pozostało tylko ułożyć drugie równanie z twierdzenia Talesa:
Ćwiczenie 1
202Ćwiczenie 2
202Ćwiczenie 4
202Zadanie 9.1
203Zadanie 9.4
203Zadanie 9.7
203Zadanie 9.9
203Ćwiczenie 5
205Ćwiczenie 6
206Ćwiczenie 8
207Ćwiczenie 9
208Zadanie 9.11
209Zadanie 9.19
209Ćwiczenie 11
211Ćwiczenie 12
212Ćwiczenie 14
214Zadanie 9.23
214Ćwiczenie 15
215Ćwiczenie 18
217Ćwiczenie 20
217Ćwiczenie 21
217Ćwiczenie 22
217Ćwiczenie 23
218Ćwiczenie 25
219Zadanie 9.32
219Zadanie 9.34
220Zadanie 9.35
220Zadanie 9.36
220Zadanie 9.37
220Zadanie 9.39
221Zadanie 9.40
221Ćwiczenie 27
222Ćwiczenie 28
223Zadanie 9.42
225Zadanie 9.45
225Zadanie 9.46
225