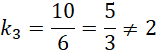
Musisz ocenić, czy dwa trójkąty są podobne.
Podane trójkąty nie są podobne.
By trójkąty były podobne, stosunek podobieństwa każdej z par boków musi być sobie równa:
Ćwiczenie 1
202Ćwiczenie 2
202Ćwiczenie 4
202Zadanie 9.1
203Zadanie 9.4
203Zadanie 9.7
203Zadanie 9.9
203Ćwiczenie 5
205Ćwiczenie 6
206Ćwiczenie 8
207Ćwiczenie 9
208Zadanie 9.11
209Zadanie 9.19
209Ćwiczenie 11
211Ćwiczenie 12
212Ćwiczenie 14
214Zadanie 9.23
214Ćwiczenie 15
215Ćwiczenie 18
217Ćwiczenie 20
217Ćwiczenie 21
217Ćwiczenie 22
217Ćwiczenie 23
218Ćwiczenie 25
219Zadanie 9.32
219Zadanie 9.34
220Zadanie 9.35
220Zadanie 9.36
220Zadanie 9.37
220Zadanie 9.39
221Zadanie 9.40
221Ćwiczenie 27
222Ćwiczenie 28
223Zadanie 9.42
225Zadanie 9.45
225Zadanie 9.46
225