Musisz przeanalizować podany rysunek oraz odpowiedzieć na zadane pytania.
Poprawne są odpowiedzi:
A. odcinek, który jest suma odcinków. x i y, jest dwa razy dłuższy niż odcinek x,
B. odcinek, który jest suma odcinków x i y, jest dwa razy dłuższy niż odcinek p,
C. odcinki x i y są równe.
A.
Zapisz twierdzenie Talesa:
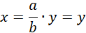
Jeżeli a = b:
Stąd można wywnioskować, że stosunek:
B.
Zapisz twierdzenie Talesa:
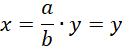
Jeżeli a = b:
Stąd można wywnioskować, że stosunek:
C.
Zapisz twierdzenie Talesa:
Jeżeli a = b:
Ćwiczenie 1
202Ćwiczenie 2
202Ćwiczenie 4
202Zadanie 9.1
203Zadanie 9.4
203Zadanie 9.7
203Zadanie 9.9
203Ćwiczenie 5
205Ćwiczenie 6
206Ćwiczenie 8
207Ćwiczenie 9
208Zadanie 9.11
209Zadanie 9.19
209Ćwiczenie 11
211Ćwiczenie 12
212Ćwiczenie 14
214Zadanie 9.23
214Ćwiczenie 15
215Ćwiczenie 18
217Ćwiczenie 20
217Ćwiczenie 21
217Ćwiczenie 22
217Ćwiczenie 23
218Ćwiczenie 25
219Zadanie 9.32
219Zadanie 9.34
220Zadanie 9.35
220Zadanie 9.36
220Zadanie 9.37
220Zadanie 9.39
221Zadanie 9.40
221Ćwiczenie 27
222Ćwiczenie 28
223Zadanie 9.42
225Zadanie 9.45
225Zadanie 9.46
225