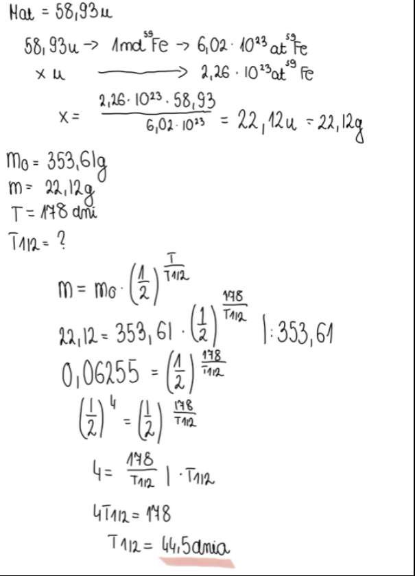
Wyznacz czas półtrwania izotopu 59Fe, którego masa atomowa wynosi 58,93 u, wiedząc, że po 178 dniach z próbki zawierającej początkowo 353,61 g tego izotopu pozostało 2,26 *1023 jąder 59Fe. Otrzymany wynik podaj w dniach z dokładnością do jednego miejsca po przecinku.