Produktami ozonolizy 1-metylocykloheksanu są prop-2-enal i butan-2-on.
1-metylocykloheksen wpisuje się w drugi schemat reakcji, w którym alkenu powstaje aldehyd i keton. W pierwszym kroku zapisz szkielety powstającego aldehydu i ketonu:
Aldehyd: C—C=O
Keton: C—CO—C—C
Następnie dopisz atomy wodoru, których w substracie było 12, więc tyle mamy do dyspozycji.
Aldehyd: CH2—CH=CHO
Keton: CH3—CO—CH2—CH3
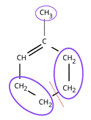
Na rysunku przerywaną linią zaznaczono miejsce, w którym „pęka” 1-metylocykloheksan. Fioletowe kółka oznaczają „R” we wzorze ogólnym: