Wyprowadź wzór na gęstość materii jądrowej i wykaż, że nie zależy ona od liczby masowej pierwiastka.
Rozwiązanie
Wyjaśnienie
Promień jądra atomowego:
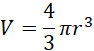
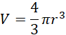
Objętość kuli:
Oblicz objętość jądra atomowego
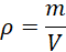
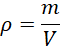
Gęstość:
Jeśli A jest liczbą masową jądra, to masę jądra wyznaczymy następująco:
gdzie jest liczbą masową jądra, jest masą pojedynczego nukleonu (protonu lub neutronu)
Jak widać, wartość się skraca, co oznacza, że nie zależy od niej gęstość. Dodatkowo wartości i są stałe co oznacza, że sama wartość gęstości jest stała.