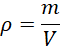
Przyrównaj gęstość Ziemi do czarnej dziury o masie Ziemi.
Szukasz:
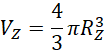
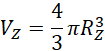
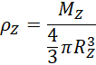
Objętość Ziemi:
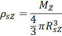
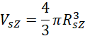
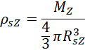
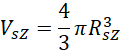
Objętość czarnej dziury o masie Ziemi:
Więc:
Promień czarnej dziury o masie Ziemi obliczyłeś w poprzedniej części zadania:
Zadanie 1
Zadanie 2
Podpunkt a)
Podpunkt b)
Zadanie 3
Podpunkt c)
Zadanie 4
Zadanie 5
Zadanie 6
Zadanie 4.1
Zadanie 4.2
Zadanie 4.3
Zadanie 4.4
Zadanie 4.5
Zadanie 5.1
Zadanie 5.2
Zadanie 5.3
Zadanie 5.4
Zadanie 7
Zadanie 8.1
Zadanie 8.2
Zadanie 8.3
Zadanie 8.4
Zadanie 8.5
Zadanie 9.1
Zadanie 9.2
Zadanie 10