W tym zadaniu musisz obliczyć, jaka masa węgla dostarczy energię do elektrowni w podanym czasie i o mocy i sprawności podanej w podpunkcie a)..
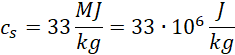
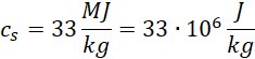
Ciepło spalania węgla:
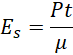
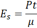
Sprawność elektrowni:
gdzie
– Energia wyzwolona przez spalanie całego potrzebnego węgla
Masa węgla potrzebnego do uzyskania odpowiedniej energii przy mocy 4500 MW w czasie 30 dni:
Zadanie 1
Zadanie 2
Podpunkt a)
Podpunkt b)
Zadanie 3
Podpunkt c)
Zadanie 4
Zadanie 5
Zadanie 6
Zadanie 4.1
Zadanie 4.2
Zadanie 4.3
Zadanie 4.4
Zadanie 4.5
Zadanie 5.1
Zadanie 5.2
Zadanie 5.3
Zadanie 5.4
Zadanie 7
Zadanie 8.1
Zadanie 8.2
Zadanie 8.3
Zadanie 8.4
Zadanie 8.5
Zadanie 9.1
Zadanie 9.2
Zadanie 10