Zadanie

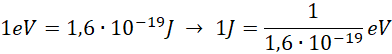
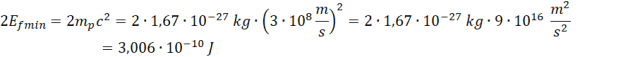
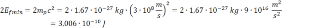
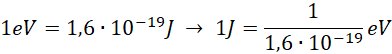
W tym zadaniu musisz obliczyć, jaką minimalną energię będą mogły miały fotony powstałe w wyniku anihilacji pary proton-antyproton.

Rozwiązanie

Wyjaśnienie

Zadania z tego działu
Fizyka jądrowa
139
Promieniowanie jądrowe i jego właściwości
140
Jądro atomowe i jego budowa
146
Rozpady promieniotwórcze
151
Energia wiązania
161
Reakcje jądrowe. Kreacja i anihilacja
165
Reakcje rozszczepienia
171
Energetyka jądrowa. Wykorzystanie energii jądrowej
178
Reakcje termojądrowe. Ewolucja gwiazd
186
Promieniowanie jonizujące a organizmy
199