W tym zadaniu musisz obliczyć czas, po którym aktywność preparatów będzie 32 razy mniejsza niż w chwili podania.
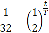
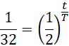
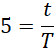
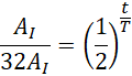
Aktywność preparatu ma być 32 razy mniejsza niż :
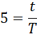
Wynika z tego:
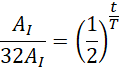
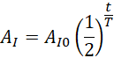
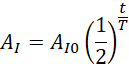
Zależność aktywności promieniotwórczej:
Podstaw:
Czas połowicznego rozpadu :
Zadanie 1
Zadanie 2
Podpunkt a)
Podpunkt b)
Zadanie 3
Podpunkt c)
Zadanie 4
Zadanie 5
Zadanie 6
Zadanie 4.1
Zadanie 4.2
Zadanie 4.3
Zadanie 4.4
Zadanie 4.5
Zadanie 5.1
Zadanie 5.2
Zadanie 5.3
Zadanie 5.4
Zadanie 7
Zadanie 8.1
Zadanie 8.2
Zadanie 8.3
Zadanie 8.4
Zadanie 8.5
Zadanie 9.1
Zadanie 9.2
Zadanie 10