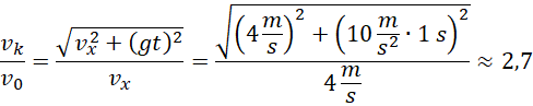
Na podstawie rysunku przedstawionego w podręczniku oblicz ile razy szybkość końcowa ciała była większa od początkowej.
Zapisujemy wzory literowe na prędkości: początkową i końcową. Następnie zestawiamy ze sobą obie wielkości i podstawiamy dane liczbowe.
Zadanie 1.2.
15Zadanie 1.3.
15Zadanie 1.4.
15Zadanie 1.5.
15Zadanie 1.6.
16Zadanie 1.7.
16Zadanie 2.1.
16Zadanie 2.2.
17Zadanie 2.7.
17Zadanie 3.3.
19Zadanie 3.4.
19Zadanie 3.5.
19Zadanie 3.6.
20Zadanie 3.7.
20Zadanie 3.11.
20Zadanie 4.6.
21Zadanie 4.7.
21Zadanie 4.9.
22Zadanie 4.10.
23Zadanie 4.11.
23Zadanie 4.13.
24Zadanie 4.14.
24Zadanie 4.16.
24Zadanie 4.17.
24Zadanie 4.19.
25Zadanie 5.5.
26Zadanie 5.16.
28Zadanie 5.19.
29Zadanie 5.20.
29Zadanie 6.1.
29Zadanie 6.2.
30Zadanie 6.3.
30Zadanie 6.4.
30Zadanie 6.5.
30Zadanie 6.6.
31Zadanie 6.7.
31Zadanie 6.8.
32Zadanie 6.9.
33Zadanie 6.10.
33Zadanie 6.11.
33Zadanie 6.12.
34Zadanie 6.13.
34Zadanie 7.3.
35Zadanie 7.4.
35Zadanie 7.6.
35Zadanie 7.10.
36Zadanie 7.11.
36Zadanie 7.12.
36Zadanie 7.13.
37Zadanie 7.15.
37Zadanie 8.2.
38Zadanie 8.3.
38Zadanie 8.6.
39Zadanie 8.8.
39Zadanie 8.12.
39Zadanie 8.15.
40Zadanie 8.16.
40Zadanie 9.1.
41Zadanie 9.2.
41Zadanie 9.3.
41Zadanie 9.4.
41Zadanie 9.5.
42Zadanie 9.6.
42Zadanie 9.7.
43Zadanie 9.8.
43