Wiedząc, że piłka została uderzona z szybkością 8 m/s pod kątem 30° do poziomu na wysokości 120 cm oblicz, w jakiej odległości upadnie piłka.
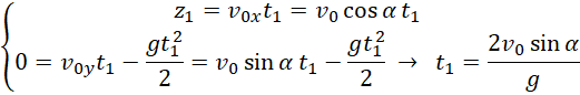
Rzut ukośny (dla punktu na wysokości h, gdy piłeczka przebyła cały zasięg):
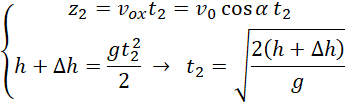
Równanie ruchu na osi y, gdy piłeczka osiągnie wysokość maksymalną:
Rzut poziomy:
Ruch piłeczki rozbijamy na dwie części: pierwsza, gdy piłeczka porusza się rzutem ukośnym do najwyższego punktu toru ruchu, i druga, gdy piłeczka porusza się rzutem poziomym od najwyższego punktu toru ruchu do ziemi. Dla każdej z części zapisujemy równania ruchu. W pierwszej wykorzystujemy moment, gdy piłka pokonała cały zasięg, czyli znajduje się na takiej samej wysokości jak początkowa. W rzucie poziomym zakładamy, że piłka spada z wysokości równej sumie wysokości początkowej i przyrostu wysokości zyskanej w rzucie ukośnym.
Zadanie 1.2.
15Zadanie 1.3.
15Zadanie 1.4.
15Zadanie 1.5.
15Zadanie 1.6.
16Zadanie 1.7.
16Zadanie 2.1.
16Zadanie 2.2.
17Zadanie 2.7.
17Zadanie 3.3.
19Zadanie 3.4.
19Zadanie 3.5.
19Zadanie 3.6.
20Zadanie 3.7.
20Zadanie 3.11.
20Zadanie 4.6.
21Zadanie 4.7.
21Zadanie 4.9.
22Zadanie 4.10.
23Zadanie 4.11.
23Zadanie 4.13.
24Zadanie 4.14.
24Zadanie 4.16.
24Zadanie 4.17.
24Zadanie 4.19.
25Zadanie 5.5.
26Zadanie 5.16.
28Zadanie 5.19.
29Zadanie 5.20.
29Zadanie 6.1.
29Zadanie 6.2.
30Zadanie 6.3.
30Zadanie 6.4.
30Zadanie 6.5.
30Zadanie 6.6.
31Zadanie 6.7.
31Zadanie 6.8.
32Zadanie 6.9.
33Zadanie 6.10.
33Zadanie 6.11.
33Zadanie 6.12.
34Zadanie 6.13.
34Zadanie 7.3.
35Zadanie 7.4.
35Zadanie 7.6.
35Zadanie 7.10.
36Zadanie 7.11.
36Zadanie 7.12.
36Zadanie 7.13.
37Zadanie 7.15.
37Zadanie 8.2.
38Zadanie 8.3.
38Zadanie 8.6.
39Zadanie 8.8.
39Zadanie 8.12.
39Zadanie 8.15.
40Zadanie 8.16.
40Zadanie 9.1.
41Zadanie 9.2.
41Zadanie 9.3.
41Zadanie 9.4.
41Zadanie 9.5.
42Zadanie 9.6.
42Zadanie 9.7.
43Zadanie 9.8.
43