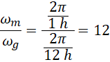
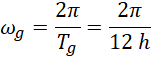
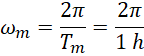
Wiedząc, że wskazówka godzinowa jest o o 1/3 krótsza od wskazówki minutowej oblicz iloraz szybkości kątowych wskazówek zegara (
Korzystamy ze wzoru na prędkość kątową. Wyznaczamy okres obu ruchu, czyli czas, w którym poszczególne wskazówki wykonają pełny obrót. Na koniec zestawiamy ze sobą wyznaczone wartości.
Zadanie 1.2.
15Zadanie 1.3.
15Zadanie 1.4.
15Zadanie 1.5.
15Zadanie 1.6.
16Zadanie 1.7.
16Zadanie 2.1.
16Zadanie 2.2.
17Zadanie 2.7.
17Zadanie 3.3.
19Zadanie 3.4.
19Zadanie 3.5.
19Zadanie 3.6.
20Zadanie 3.7.
20Zadanie 3.11.
20Zadanie 4.6.
21Zadanie 4.7.
21Zadanie 4.9.
22Zadanie 4.10.
23Zadanie 4.11.
23Zadanie 4.13.
24Zadanie 4.14.
24Zadanie 4.16.
24Zadanie 4.17.
24Zadanie 4.19.
25Zadanie 5.5.
26Zadanie 5.16.
28Zadanie 5.19.
29Zadanie 5.20.
29Zadanie 6.1.
29Zadanie 6.2.
30Zadanie 6.3.
30Zadanie 6.4.
30Zadanie 6.5.
30Zadanie 6.6.
31Zadanie 6.7.
31Zadanie 6.8.
32Zadanie 6.9.
33Zadanie 6.10.
33Zadanie 6.11.
33Zadanie 6.12.
34Zadanie 6.13.
34Zadanie 7.3.
35Zadanie 7.4.
35Zadanie 7.6.
35Zadanie 7.10.
36Zadanie 7.11.
36Zadanie 7.12.
36Zadanie 7.13.
37Zadanie 7.15.
37Zadanie 8.2.
38Zadanie 8.3.
38Zadanie 8.6.
39Zadanie 8.8.
39Zadanie 8.12.
39Zadanie 8.15.
40Zadanie 8.16.
40Zadanie 9.1.
41Zadanie 9.2.
41Zadanie 9.3.
41Zadanie 9.4.
41Zadanie 9.5.
42Zadanie 9.6.
42Zadanie 9.7.
43Zadanie 9.8.
43