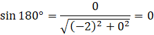
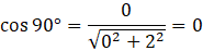
Wyznacz wartość sinusa oraz cosinusa kątów 90° i 180° oraz tangens kąta 180°.
Ramię końcowe kąta 90° pokrywa się z dodatnią częścią osi y. Przykładowy punkt leżący na tym ramieniu:
Ramię końcowe kąta 180° pokrywa się z ujemną częścią osi x. Przykładowy punkt leżący na tym ramieniu:
Zauważ, że ramiona końcowe kątów 90° i 180° pokrywają się kolejno z dodatnią częścią osi y i ujemną częścią osi x. Na podstawie tej informacji dobierz przykładowe punkty leżące na ramionach końcowych tych kątów.
Oblicz szukane wartości funkcji trygonometrycznych korzystając z zależności:
gdzie x i y są współrzędnymi pewnego punktu P = (x, y) leżącego na końcowym ramieniu kąta α, a
Ćwiczenie B.
146Zadanie 1.
147Zadanie 2.
148Zadanie 3.
148Zadanie 4.
148Zadanie 5.
148Zadanie 6.
148Zadanie 7.
148Ćwiczenie C.
151Zadanie 1.
151Zadanie 2.
151Zadanie 3.
151Zadanie 4.
152Zadanie 5.
152Zadanie 6.
152Zadanie 7.
152Zadanie 8.
152Zadanie 9.
152Ćwiczenie C.
154Zadanie 1.
156Zadanie 2.
156Zadanie 5.
156Zadanie 6.
156Zadanie 7.
157Zadanie 8.
157Zadanie 9.
157Zadanie 10.
157Zadanie 11.
157Zadanie 12.
157Zadanie 13.
157Zadanie 15.
158Zadanie 16.
158Zadanie 1.
160Zadanie 2.
160Zadanie 3.
161Zadanie 4.
161Zadanie 5.
161Zadanie 6.
161Zadanie 7.
161Zadanie 8.
161Zadanie 9.
161Zadanie 10.
161Ćwiczenie B.
164Ćwiczenie C.
165Zadanie 1.
165Zadanie 2.
166Zadanie 4.
166Zadanie 5.
166Zadanie 6.
166Zadanie 7.
166Ćwiczenie A.
168Zadanie 1.
170Zadanie 2.
170Zadanie 3.
170Zadanie 4.
170Zadanie 7.
171Zadanie 8.
171Zadanie 10.
171Zadanie 11.
171Zadanie 1.
174Zadanie 2.
174Zadanie 3.
174Zadanie 4.
174Zadanie 1.
179Zadanie 2.
179Zadanie 3.
179Zadanie 4.
179Zadanie 5.
179Zadanie 6.
180Zadanie 7.
180Zadanie 8.
180Zadanie 9.
180Zadanie 10.
180Zadanie 11.
180Zadanie 12.
180Zadanie 13.
180Zadanie 14.
180Zadanie 15.
180Zadanie 17.
181Zadanie 18.
181Przykład 1.
184Zadanie 1.
184Zadanie 3.
185Zadanie 5.
185Zadanie 6.
185Zadanie 7.
185Zadanie 8.
185Zadanie 9.
185Ćwiczenie B.
187Ćwiczenie C.
187Zadanie 1.
190Zadanie 2.
190Zadanie 3.
191Zadanie 4.
191Zadanie 6.
191Zadanie 7.
191Zadanie 8.
192Zadanie 9.
192Zadanie 10.
192Zadanie 11.
192Zadanie 12.
192Zadanie 13.
192Zadanie 14.
193Zadanie 15.
193Zadanie 16.
193Zadanie 17.
193Zadanie 18.
193Zadanie 1.
196Zadanie 2.
196Zadanie 3.
196Zadanie 5.
197Zadanie 6.
197Zadanie 7.
197Zadanie 8.
197Przykład 1.
200Ćwiczenie C.
202Przykład 7.
205Przykład 8.
206Zadanie 1.
207Zadanie 2.
207Zadanie 3.
207Zadanie 4.
207Zadanie 5.
207Zadanie 6.
207Zadanie 7.
207Zadanie 8.
207Zadanie 9.
207Zadanie 10.
208Zadanie 11.
208Zadanie 12.
208Zadanie 13.
208Zadanie 14.
208Zadanie 15.
208Zadanie 1.
212Zadanie 2.
212Zadanie 3.
212Zadanie 4.
212Zadanie 5.
212Zadanie 6.
212Zadanie 7.
212Zadanie 8.
212Zadanie 9.
213Zadanie 10.
213Zadanie 11.
213Zadanie 12.
213Zadanie 13.
213Zadanie 14.
213Zadanie 1.
214Zadanie 2.
214Zadanie 3.
214Zadanie 6.
214Zadanie 7.
214Zadanie 8.
214Zadanie 11.
214Zadanie 12.
214Zadanie 13.
214Zadanie 14.
214Zadanie 15.
214