Dane są funkcje f i g określone wzorami: f(x) = sin x + cos x, g(x) = sin x – cos x. Przedstaw je w postaci: y = a sin(x – p).
Skorzystaj z wniosków z podpunktu a:
Rysunek pierwszy przedstawia wykres funkcji g, a drugi, wykres funkcji f.
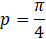
f:
Wartość największa funkcji wynosi
Wykres funkcji y = a sin(x – p) powstał w wyniku przesunięcia wykresu funkcji y = a sin x o p jednostek w lewo (gdy p > 0) lub p jednostek w prawo (gdy p < 0).
Z wykresu można odczytać, że jest on sinusoidą przesuniętą w lewo o p jednostek. Aby wyznaczyć p, zbadaj jak „przesunęły się” poszczególne wartości.
Znajdź argument, dla którego funkcja
W przedziale
Argumenty funkcji przesunęły się więc o:
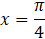
g:
Wartość największa funkcji wynosi
Wykres funkcji y = a sin(x – p) powstał w wyniku przesunięcia wykresu funkcji y = a sin x o p jednostek w lewo (gdy p > 0) lub p jednostek w prawo (gdy p < 0).
Z wykresu można odczytać, że jest on sinusoidą przesuniętą w prawo o p jednostek. Aby wyznaczyć p, zbadaj jak „przesunęły się” poszczególne wartości.
Znajdź argument, dla którego funkcja
W przedziale
Argumenty funkcji przesunęły się więc o:
Odpowiedź:
Skorzystaj z wniosków z podpunktu a zadania, dotyczących tego, który rysunek przedstawia wykres której funkcji.
Z wykresów odczytaj wartość największą obu funkcji i zauważ, że jest ona liczbą a ze wzoru y = a sin(x – p).
Wykres funkcji y = a sin(x – p) oznacza przesunięcie wykresu funkcji y = a sin x o p jednostek w lewo (gdy p > 0) lub p jednostek w prawo (gdy p < 0).
Wyznacz liczbę p badając jak „przesunęły się” argumenty, dla których funkcje y = a sin x i f(x) lub g(x) osiągają tę samą wartość.
Innymi słowy, jeśli dla argumentu zero funkcja f przyjmuje wartość 1, znajdź argument, dla którego funkcja y = a sin x przyjmuje wartość 1. Następnie oblicz różnicę tych argumentów.
Wyznacz wzory funkcji f i g w zadanej postaci podstawiając obliczone wartości.
Ćwiczenie B.
146Zadanie 1.
147Zadanie 2.
148Zadanie 3.
148Zadanie 4.
148Zadanie 5.
148Zadanie 6.
148Zadanie 7.
148Ćwiczenie C.
151Zadanie 1.
151Zadanie 2.
151Zadanie 3.
151Zadanie 4.
152Zadanie 5.
152Zadanie 6.
152Zadanie 7.
152Zadanie 8.
152Zadanie 9.
152Ćwiczenie C.
154Zadanie 1.
156Zadanie 2.
156Zadanie 5.
156Zadanie 6.
156Zadanie 7.
157Zadanie 8.
157Zadanie 9.
157Zadanie 10.
157Zadanie 11.
157Zadanie 12.
157Zadanie 13.
157Zadanie 15.
158Zadanie 16.
158Zadanie 1.
160Zadanie 2.
160Zadanie 3.
161Zadanie 4.
161Zadanie 5.
161Zadanie 6.
161Zadanie 7.
161Zadanie 8.
161Zadanie 9.
161Zadanie 10.
161Ćwiczenie B.
164Ćwiczenie C.
165Zadanie 1.
165Zadanie 2.
166Zadanie 4.
166Zadanie 5.
166Zadanie 6.
166Zadanie 7.
166Ćwiczenie A.
168Zadanie 1.
170Zadanie 2.
170Zadanie 3.
170Zadanie 4.
170Zadanie 7.
171Zadanie 8.
171Zadanie 10.
171Zadanie 11.
171Zadanie 1.
174Zadanie 2.
174Zadanie 3.
174Zadanie 4.
174Zadanie 1.
179Zadanie 2.
179Zadanie 3.
179Zadanie 4.
179Zadanie 5.
179Zadanie 6.
180Zadanie 7.
180Zadanie 8.
180Zadanie 9.
180Zadanie 10.
180Zadanie 11.
180Zadanie 12.
180Zadanie 13.
180Zadanie 14.
180Zadanie 15.
180Zadanie 17.
181Zadanie 18.
181Przykład 1.
184Zadanie 1.
184Zadanie 3.
185Zadanie 5.
185Zadanie 6.
185Zadanie 7.
185Zadanie 8.
185Zadanie 9.
185Ćwiczenie B.
187Ćwiczenie C.
187Zadanie 1.
190Zadanie 2.
190Zadanie 3.
191Zadanie 4.
191Zadanie 6.
191Zadanie 7.
191Zadanie 8.
192Zadanie 9.
192Zadanie 10.
192Zadanie 11.
192Zadanie 12.
192Zadanie 13.
192Zadanie 14.
193Zadanie 15.
193Zadanie 16.
193Zadanie 17.
193Zadanie 18.
193Zadanie 1.
196Zadanie 2.
196Zadanie 3.
196Zadanie 5.
197Zadanie 6.
197Zadanie 7.
197Zadanie 8.
197Przykład 1.
200Ćwiczenie C.
202Przykład 7.
205Przykład 8.
206Zadanie 1.
207Zadanie 2.
207Zadanie 3.
207Zadanie 4.
207Zadanie 5.
207Zadanie 6.
207Zadanie 7.
207Zadanie 8.
207Zadanie 9.
207Zadanie 10.
208Zadanie 11.
208Zadanie 12.
208Zadanie 13.
208Zadanie 14.
208Zadanie 15.
208Zadanie 1.
212Zadanie 2.
212Zadanie 3.
212Zadanie 4.
212Zadanie 5.
212Zadanie 6.
212Zadanie 7.
212Zadanie 8.
212Zadanie 9.
213Zadanie 10.
213Zadanie 11.
213Zadanie 12.
213Zadanie 13.
213Zadanie 14.
213Zadanie 1.
214Zadanie 2.
214Zadanie 3.
214Zadanie 6.
214Zadanie 7.
214Zadanie 8.
214Zadanie 11.
214Zadanie 12.
214Zadanie 13.
214Zadanie 14.
214Zadanie 15.
214