Dany jest kąt α ∈ ⟨0°; 360°⟩. Ustal jego możliwe wartości takie, aby wyrażenie sin α = cos α było prawdziwe. W zadaniu skorzystaj z definicji funkcji trygonometrycznych.
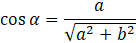
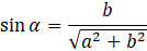
Niech punkt P = (a, b) będzie puntem leżącym na ramieniu końcowym kąta α. Z definicji funkcji trygonometrycznych:
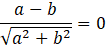
Zauważ, że aby równanie miało sens liczbowy, a i b nie mogą być jednocześnie zerem. Mając dziedzinę równania, pozostaje nam przyrównać licznik do zera:
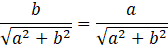
Liczby a i b są współrzędnymi punktu P. Punkt ten zatem ma obie współrzędne takie same i może być nimi dowolna liczba rzeczywista oprócz zera.
Zbiór wszystkich punktów P można więc przedstawić jako funkcję y = x, x ≠ 0. Punkt P leży na końcowym ramieniu kąta α, zatem ramię to musi pokrywać się z fragmentem wykresu leżącym w I lub III ćwiartce układu współrzędnych:
Odpowiedź:
Wartości funkcji trygonometrycznych dowolnego kąta oblicza się ze wzorów:
gdzie liczby a i b są współrzędnymi punktu P leżącego na końcowym ramieniu rozpatrywanego kąta α.
Zapisz równość z treści zadania za pomocą liczb a i b oraz wyznacz, dla jakich wartości tych zmiennych jest ona spełniona.
Zauważ, że zbiór wszystkich punktów P określa funkcja y = x, x ≠ 0. Wywnioskuj z tego, że ramię końcowe kąta musi pokrywać się z fragmentem wykresu funkcji leżącym w I lub III ćwiartce układu współrzędnych.
Wyznacz wszystkie kąty α ∈ ⟨0°; 360°⟩, które powyższe warunki.
Ćwiczenie B.
146Zadanie 1.
147Zadanie 2.
148Zadanie 3.
148Zadanie 4.
148Zadanie 5.
148Zadanie 6.
148Zadanie 7.
148Ćwiczenie C.
151Zadanie 1.
151Zadanie 2.
151Zadanie 3.
151Zadanie 4.
152Zadanie 5.
152Zadanie 6.
152Zadanie 7.
152Zadanie 8.
152Zadanie 9.
152Ćwiczenie C.
154Zadanie 1.
156Zadanie 2.
156Zadanie 5.
156Zadanie 6.
156Zadanie 7.
157Zadanie 8.
157Zadanie 9.
157Zadanie 10.
157Zadanie 11.
157Zadanie 12.
157Zadanie 13.
157Zadanie 15.
158Zadanie 16.
158Zadanie 1.
160Zadanie 2.
160Zadanie 3.
161Zadanie 4.
161Zadanie 5.
161Zadanie 6.
161Zadanie 7.
161Zadanie 8.
161Zadanie 9.
161Zadanie 10.
161Ćwiczenie B.
164Ćwiczenie C.
165Zadanie 1.
165Zadanie 2.
166Zadanie 4.
166Zadanie 5.
166Zadanie 6.
166Zadanie 7.
166Ćwiczenie A.
168Zadanie 1.
170Zadanie 2.
170Zadanie 3.
170Zadanie 4.
170Zadanie 7.
171Zadanie 8.
171Zadanie 10.
171Zadanie 11.
171Zadanie 1.
174Zadanie 2.
174Zadanie 3.
174Zadanie 4.
174Zadanie 1.
179Zadanie 2.
179Zadanie 3.
179Zadanie 4.
179Zadanie 5.
179Zadanie 6.
180Zadanie 7.
180Zadanie 8.
180Zadanie 9.
180Zadanie 10.
180Zadanie 11.
180Zadanie 12.
180Zadanie 13.
180Zadanie 14.
180Zadanie 15.
180Zadanie 17.
181Zadanie 18.
181Przykład 1.
184Zadanie 1.
184Zadanie 3.
185Zadanie 5.
185Zadanie 6.
185Zadanie 7.
185Zadanie 8.
185Zadanie 9.
185Ćwiczenie B.
187Ćwiczenie C.
187Zadanie 1.
190Zadanie 2.
190Zadanie 3.
191Zadanie 4.
191Zadanie 6.
191Zadanie 7.
191Zadanie 8.
192Zadanie 9.
192Zadanie 10.
192Zadanie 11.
192Zadanie 12.
192Zadanie 13.
192Zadanie 14.
193Zadanie 15.
193Zadanie 16.
193Zadanie 17.
193Zadanie 18.
193Zadanie 1.
196Zadanie 2.
196Zadanie 3.
196Zadanie 5.
197Zadanie 6.
197Zadanie 7.
197Zadanie 8.
197Przykład 1.
200Ćwiczenie C.
202Przykład 7.
205Przykład 8.
206Zadanie 1.
207Zadanie 2.
207Zadanie 3.
207Zadanie 4.
207Zadanie 5.
207Zadanie 6.
207Zadanie 7.
207Zadanie 8.
207Zadanie 9.
207Zadanie 10.
208Zadanie 11.
208Zadanie 12.
208Zadanie 13.
208Zadanie 14.
208Zadanie 15.
208Zadanie 1.
212Zadanie 2.
212Zadanie 3.
212Zadanie 4.
212Zadanie 5.
212Zadanie 6.
212Zadanie 7.
212Zadanie 8.
212Zadanie 9.
213Zadanie 10.
213Zadanie 11.
213Zadanie 12.
213Zadanie 13.
213Zadanie 14.
213Zadanie 1.
214Zadanie 2.
214Zadanie 3.
214Zadanie 6.
214Zadanie 7.
214Zadanie 8.
214Zadanie 11.
214Zadanie 12.
214Zadanie 13.
214Zadanie 14.
214Zadanie 15.
214