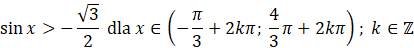
Wyznacz wartości x, dla których
Przeanalizuj sytuację graficznie:
Znajdź liczby krańcowe jednego z przedziałów, w którym rozpatrywana nierówność jest prawdziwa. Będą to także liczby spełniające równanie
Zaznacz odpowiednie liczby na rysunku:
Odczytaj przedział, w którym rozpatrywana nierówność jest spełniona:
Przedziałów takich jest nieskończenie wiele, a różnica pomiędzy odpowiednimi punktami w kolejnych takich przedziałach wynosi 2π, co wynika z okresowości funkcji sinus. Zatem:
Przeanalizuj sytuację graficznie i znajdź punkty krańcowe jednego z przedziałów, w którym spełniona jest rozpatrywana nierówność. Czyli, innymi słowy, znajdź taki przedział, w którym sinusoida leży powyżej prostej o równaniu
Punkty, o których mowa spełniają także równanie
Zauważ, że rozpatrywanych przedziałów jest nieskończenie wiele, a różnica pomiędzy odpowiednimi punktami w kolejnych z nich wynosi 2π, co wynika z okresowości funkcji sinus.
Wyznacz w postaci ogólnej przedział będący rozwiązaniem rozpatrywanej nierówności.
Ćwiczenie B.
146Zadanie 1.
147Zadanie 2.
148Zadanie 3.
148Zadanie 4.
148Zadanie 5.
148Zadanie 6.
148Zadanie 7.
148Ćwiczenie C.
151Zadanie 1.
151Zadanie 2.
151Zadanie 3.
151Zadanie 4.
152Zadanie 5.
152Zadanie 6.
152Zadanie 7.
152Zadanie 8.
152Zadanie 9.
152Ćwiczenie C.
154Zadanie 1.
156Zadanie 2.
156Zadanie 5.
156Zadanie 6.
156Zadanie 7.
157Zadanie 8.
157Zadanie 9.
157Zadanie 10.
157Zadanie 11.
157Zadanie 12.
157Zadanie 13.
157Zadanie 15.
158Zadanie 16.
158Zadanie 1.
160Zadanie 2.
160Zadanie 3.
161Zadanie 4.
161Zadanie 5.
161Zadanie 6.
161Zadanie 7.
161Zadanie 8.
161Zadanie 9.
161Zadanie 10.
161Ćwiczenie B.
164Ćwiczenie C.
165Zadanie 1.
165Zadanie 2.
166Zadanie 4.
166Zadanie 5.
166Zadanie 6.
166Zadanie 7.
166Ćwiczenie A.
168Zadanie 1.
170Zadanie 2.
170Zadanie 3.
170Zadanie 4.
170Zadanie 7.
171Zadanie 8.
171Zadanie 10.
171Zadanie 11.
171Zadanie 1.
174Zadanie 2.
174Zadanie 3.
174Zadanie 4.
174Zadanie 1.
179Zadanie 2.
179Zadanie 3.
179Zadanie 4.
179Zadanie 5.
179Zadanie 6.
180Zadanie 7.
180Zadanie 8.
180Zadanie 9.
180Zadanie 10.
180Zadanie 11.
180Zadanie 12.
180Zadanie 13.
180Zadanie 14.
180Zadanie 15.
180Zadanie 17.
181Zadanie 18.
181Przykład 1.
184Zadanie 1.
184Zadanie 3.
185Zadanie 5.
185Zadanie 6.
185Zadanie 7.
185Zadanie 8.
185Zadanie 9.
185Ćwiczenie B.
187Ćwiczenie C.
187Zadanie 1.
190Zadanie 2.
190Zadanie 3.
191Zadanie 4.
191Zadanie 6.
191Zadanie 7.
191Zadanie 8.
192Zadanie 9.
192Zadanie 10.
192Zadanie 11.
192Zadanie 12.
192Zadanie 13.
192Zadanie 14.
193Zadanie 15.
193Zadanie 16.
193Zadanie 17.
193Zadanie 18.
193Zadanie 1.
196Zadanie 2.
196Zadanie 3.
196Zadanie 5.
197Zadanie 6.
197Zadanie 7.
197Zadanie 8.
197Przykład 1.
200Ćwiczenie C.
202Przykład 7.
205Przykład 8.
206Zadanie 1.
207Zadanie 2.
207Zadanie 3.
207Zadanie 4.
207Zadanie 5.
207Zadanie 6.
207Zadanie 7.
207Zadanie 8.
207Zadanie 9.
207Zadanie 10.
208Zadanie 11.
208Zadanie 12.
208Zadanie 13.
208Zadanie 14.
208Zadanie 15.
208Zadanie 1.
212Zadanie 2.
212Zadanie 3.
212Zadanie 4.
212Zadanie 5.
212Zadanie 6.
212Zadanie 7.
212Zadanie 8.
212Zadanie 9.
213Zadanie 10.
213Zadanie 11.
213Zadanie 12.
213Zadanie 13.
213Zadanie 14.
213Zadanie 1.
214Zadanie 2.
214Zadanie 3.
214Zadanie 6.
214Zadanie 7.
214Zadanie 8.
214Zadanie 11.
214Zadanie 12.
214Zadanie 13.
214Zadanie 14.
214Zadanie 15.
214