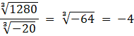
Przedstaw podane wyrażenie w postaci pierwiastka, oblicz:
– 4
Aby wykonać to zadanie poprawnie, należy podzielić liczby podpierwiastkowe.
Wynik pod pierwiastkiem można sprowadzić do najprostszej postaci. Ponieważ jest to pierwiastek sześcienny, najprostszą postacią jest liczba –4, bo –43 = –64.
Zadanie 1.
8Zadanie 2.
8Zadanie 3.
8Zadanie 7.
8Ćwiczenie sprawdzające 1.
9Zadanie 1.
10Zadanie 2.
10Zadanie 3.
10Zadanie 4.
10Zadanie 6.
10Zadanie 7.
10Zadanie 10.
11Zadanie 11.
11Ćwiczenie sprawdzające 1.
11Ćwiczenie sprawdzające 2.
11Ćwiczenie sprawdzające 3.
11Ćwiczenie sprawdzające 4.
11Ćwiczenie sprawdzające 5
11Ćwiczenie sprawdzające 6
11Zadanie 1.
13Zadanie 8.
13Zadanie 11.
13Zadanie 14.
14Zadanie 15.
14Zadanie 16
14Zadanie 6.
17Zadanie 3.
22Zadanie 4.
22Zadanie 5.
23Zadanie 6.
24Ćwiczenie sprawdzające 1.
25Zadanie 1.
27Zadanie 3.
27Zadanie 4.
27Zadanie 5.
27Zadanie 6.
28Zadanie 7.
28Zadanie 8.
28Zadanie 9.
28Zadanie 10.
28Zadanie 11.
28Zadanie 12.
28Ćwiczenie sprawdzające 1.
29Ćwiczenie sprawdzające 2.
29Ćwiczenie sprawdzające 3.
29Zadanie 2.
32Zadanie 3.
32Zadanie 4.
32Zadanie 5.
32Zadanie 6.
32Zadanie 7.
32Zadanie 9.
32Ćwiczenie sprawdzające 1.
33Ćwiczenie sprawdzające 2.
33Zadanie 12.
34Ćwiczenie 16.
36Ćwiczenie 21.
36Ćwiczenie 23.
37Zadanie 26.
37Zadanie 27.
37