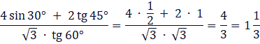
Wyznacz wartości funkcji trygonometrycznych kątów charakterystycznych, a następnie oblicz wartość wyrażenia
Zatem:
Odp. B.
Trójkąt charakterystyczny – trójkąt prostokątny o kątach odpowiednio
Wartości funkcji trygonometrycznych dla odpowiednich odczytaj z w tabeli wartości funkcji trygonometrycznych, a następnie podstaw dane do wyrażenia.
Zadanie 1.4.
317Zadanie 1.6.
318Zadanie 1.7.
318Zadanie 1.8.
318Zadanie 1.9.
318Zadanie 1.10.
318Zadanie 1.11.
318Zadanie 1.12.
318Zadanie 1.13.
319Zadanie 1.14.
319Zadanie 1.15.
319Zadanie 1.19.
319Zadanie 1.20.
319Zadanie 1.21.
319Zadanie 1.22.
320Zadanie 1.23.
320Zadanie 2.4.
325Zadanie 2.5.
325Zadanie 2.6.
325Zadanie 2.7.
326Zadanie 2.9.
326Zadanie 2.10.
326Zadanie 2.11.
326Zadanie 2.12.
326Zadanie 3.12.
332Zadanie 3.19.
333Zadanie 4.5.
339Zadanie 4.6.
339Zadanie 4.21.
341Zadanie 5.5.
350Zadanie 5.6.
351Zadanie 5.8.
351Zadanie 5.9.
351Zadanie 5.10.
351Zadanie 5.11.
351Zadanie 5.12.
351Zadanie 5.13.
351Zadanie 5.14.
351Zadanie 6.4.
356Zadanie 6.5.
356Zadanie 6.6.
356Zadanie 6.7.
356Zadanie 6.10.
356Zadanie 6.11.
356Zadanie 6.12.
356Zadanie 6.15.
356Zadanie 6.16.
356Zadanie 28.
362Zadanie 29.
362Zadanie 30.
362Zadanie 40.
363Zadanie 41.
361Zadanie 54.
364