Jeśli kąt 𝛼 – ostry i
A.
B.
C.
D.
A.
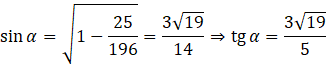
Skorzystaj z jedynki trygonometrycznej.
Zadanie 1.4.
317Zadanie 1.6.
318Zadanie 1.7.
318Zadanie 1.8.
318Zadanie 1.9.
318Zadanie 1.10.
318Zadanie 1.11.
318Zadanie 1.12.
318Zadanie 1.13.
319Zadanie 1.14.
319Zadanie 1.15.
319Zadanie 1.19.
319Zadanie 1.20.
319Zadanie 1.21.
319Zadanie 1.22.
320Zadanie 1.23.
320Zadanie 2.4.
325Zadanie 2.5.
325Zadanie 2.6.
325Zadanie 2.7.
326Zadanie 2.9.
326Zadanie 2.10.
326Zadanie 2.11.
326Zadanie 2.12.
326Zadanie 3.12.
332Zadanie 3.19.
333Zadanie 4.5.
339Zadanie 4.6.
339Zadanie 4.21.
341Zadanie 5.5.
350Zadanie 5.6.
351Zadanie 5.8.
351Zadanie 5.9.
351Zadanie 5.10.
351Zadanie 5.11.
351Zadanie 5.12.
351Zadanie 5.13.
351Zadanie 5.14.
351Zadanie 6.4.
356Zadanie 6.5.
356Zadanie 6.6.
356Zadanie 6.7.
356Zadanie 6.10.
356Zadanie 6.11.
356Zadanie 6.12.
356Zadanie 6.15.
356Zadanie 6.16.
356Zadanie 28.
362Zadanie 29.
362Zadanie 30.
362Zadanie 40.
363Zadanie 41.
361Zadanie 54.
364