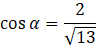
Wiedząc, że
Dwa boki trójkąta utworzonego przez dodatnią półoś osi X i prostą przechodzącą przez punkt K i L (oraz prostą prostopadłą do osi x przechodzącą przez L) mają długości równe 3 i 2. Oblicz długość trzeciego boku z tw. Pitagorasa, następnie oblicz sinus i cosinus.
Zadanie 1.4.
317Zadanie 1.6.
318Zadanie 1.7.
318Zadanie 1.8.
318Zadanie 1.9.
318Zadanie 1.10.
318Zadanie 1.11.
318Zadanie 1.12.
318Zadanie 1.13.
319Zadanie 1.14.
319Zadanie 1.15.
319Zadanie 1.19.
319Zadanie 1.20.
319Zadanie 1.21.
319Zadanie 1.22.
320Zadanie 1.23.
320Zadanie 2.4.
325Zadanie 2.5.
325Zadanie 2.6.
325Zadanie 2.7.
326Zadanie 2.9.
326Zadanie 2.10.
326Zadanie 2.11.
326Zadanie 2.12.
326Zadanie 3.12.
332Zadanie 3.19.
333Zadanie 4.5.
339Zadanie 4.6.
339Zadanie 4.21.
341Zadanie 5.5.
350Zadanie 5.6.
351Zadanie 5.8.
351Zadanie 5.9.
351Zadanie 5.10.
351Zadanie 5.11.
351Zadanie 5.12.
351Zadanie 5.13.
351Zadanie 5.14.
351Zadanie 6.4.
356Zadanie 6.5.
356Zadanie 6.6.
356Zadanie 6.7.
356Zadanie 6.10.
356Zadanie 6.11.
356Zadanie 6.12.
356Zadanie 6.15.
356Zadanie 6.16.
356Zadanie 28.
362Zadanie 29.
362Zadanie 30.
362Zadanie 40.
363Zadanie 41.
361Zadanie 54.
364