Zadanie

W tym zadaniu, na podstawia znajomości jedynego rozwiązania równania kwadratowego, musisz wyznaczyć wartości współczynników b i c.

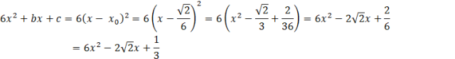
Rozwiązanie

Wyjaśnienie

Zadania z tego działu
3. Funkcja kwadratowa
99
Szkicowanie wykresów funkcji kwadratowych. Odczytywanie własności funkcji kwadratowej na podstawie wykresu
115