– W tym zadaniu musisz, na podstawie:
– najmniejszej wartości funkcji,
– wiedzy, że prosta o równaniu y = 3 przecina wykres funkcji f w punktach o odciętych 1 i 5
ustalić, jaki jest wzór funkcji kwadratowej w postaci ogólnej.
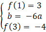
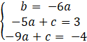
Ponieważ prosta y = 3 przecina wykres funkcji w punktach o odciętych 1 i 5 możesz zapisać równanie f(1) = f(5) = 3.Z tego równania wyznacz zależność b = -6a.
Ponieważ wierzchołek paraboli leży na prostej będącej jej osią symetrii, jego odcięta musi być równa średniej arytmetycznej argumentów 1 i 5 (dla nich funkcja przyjmuje te same wartości, więc wyznaczane przez nie punkty wykresu są symetryczne). Rzędna jest równa najmniejszej wartości funkcji.
Wyznaczając współrzędne wierzchołka, otrzymujesz równanie f(x) = -4.
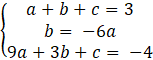
Zapisz otrzymane zależności w postaci układu równań.
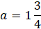
Podstaw wyznaczoną wartość współczynnika b. Zredukuj jednomiany podobne. Od drugiego równania odejmij trzecie, wyznacz w ten sposób wartość a.Podstaw a pod pozostałe równania, wyznaczając tym samym wartości współczynników b i c.
Ćwiczenie 1
99Ćwiczenie 2
100Ćwiczenie 4
101Zadanie 1
102Zadanie 2
102Zadanie 3
102Zadanie 4
102Zadanie 5
102Zadanie 6
102Zadanie 7
103Zadanie 8
102Zadanie 9
103Zadanie 1
107Zadanie 2
107Zadanie 3
107Zadanie 4
107Zadanie 5
107Zadanie 6
107Zadanie 7
107Zadanie 8
107Ćwiczenie 1
108Zadanie 1
114Zadanie 2
114Zadanie 3
114Zadanie 4
114Zadanie 5
114Zadanie 6
114Zadanie 7
114Zadanie 8
114Zadanie 9
114Zadanie 10
114Ćwiczenie 1
115Zadanie 1
117Zadanie 2
117Zadanie 3
117Zadanie 4
117Zadanie 1
124Zadanie 2
124Zadanie 3
125Zadanie 5
125Ćwiczenie 1
128Zadanie 4
128Zadanie 8
130Zadanie 1
133Zadanie 2
133Zadanie 3
133Zadanie 4
133Zadanie 5
133Zadanie 6
133Zadanie 7
133Zadanie 8
134Zadanie 9
134Zadanie 10
134Zadanie 11
134Zadanie 12
134Zadanie 13
134Zadanie 17
134Ćwiczenie 1
135Zadanie 1
138Zadanie 2
138Zadanie 3
138Zadanie 4
138Zadanie 5
138Zadanie 6
138Zadanie 7
138Ćwiczenie 1
141Ćwiczenie 2
141Zadanie 1
141Zadanie 2
142Zadanie 3
142Zadanie 4
142Zadanie 5
142Zadanie 6
142Zadanie 7
142Zadanie 8
142Zadanie 9
142Zadanie 1
151Zadanie 2
151Zadanie 3
151Zadanie 4
151Zadanie 5
151Ćwiczenie 1
152Zadanie 1
154Zadanie 2
154Zadanie 3
154Zadanie 4
154Zadanie 5
154Zadanie 6
154Ćwiczenie 1
156Ćwiczenie 4
157Zadanie 1
159Zadanie 2
159Zadanie 3
159Zadanie 4
159Zadanie 5
159Zadanie 6
159Zadanie 7
159Zadanie 1
164Zadanie 2
164Zadanie 3
164Zadanie 10
164Ćwiczenie 1
165Zadanie 1
172Zadanie 2
172Zadanie 3
173Zadanie 4
173Zadanie 13
173Zadanie 12
175Zadanie 13
175Zadanie 14
175Zadanie 17
177Zadanie 18
175Zadanie 19
175Zadanie 21
175Zadanie 26
174