W tym zadaniu musisz wyznaczyć wszystkie wartości parametru a, dla których suma kwadratów odwrotności dwóch rozwiązań danego równania jest nie mniejsza (większa lub równa) od 7.
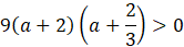
Aby równanie miało dwa rozwiązania, jego wyróżnik musi być większy od 0.
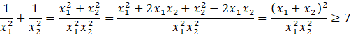
Aby wyznaczyć rozwiązania, których suma kwadratów odwrotności jest nie większa od 7, przekształć wyrażanie opisujące tę sumę do postaci, którą można przedstawić za pomocą wzorów Viète’a.
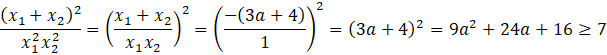
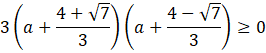
Zapisz dwie nierówności kwadratowe niewiadomej a, jako rozwiązanie zadania podaj wartości a, które spełniają obie nierówności.
Ćwiczenie 1
99Ćwiczenie 2
100Ćwiczenie 4
101Zadanie 1
102Zadanie 2
102Zadanie 3
102Zadanie 4
102Zadanie 5
102Zadanie 6
102Zadanie 7
103Zadanie 8
102Zadanie 9
103Zadanie 1
107Zadanie 2
107Zadanie 3
107Zadanie 4
107Zadanie 5
107Zadanie 6
107Zadanie 7
107Zadanie 8
107Ćwiczenie 1
108Zadanie 1
114Zadanie 2
114Zadanie 3
114Zadanie 4
114Zadanie 5
114Zadanie 6
114Zadanie 7
114Zadanie 8
114Zadanie 9
114Zadanie 10
114Ćwiczenie 1
115Zadanie 1
117Zadanie 2
117Zadanie 3
117Zadanie 4
117Zadanie 1
124Zadanie 2
124Zadanie 3
125Zadanie 5
125Ćwiczenie 1
128Zadanie 4
128Zadanie 8
130Zadanie 1
133Zadanie 2
133Zadanie 3
133Zadanie 4
133Zadanie 5
133Zadanie 6
133Zadanie 7
133Zadanie 8
134Zadanie 9
134Zadanie 10
134Zadanie 11
134Zadanie 12
134Zadanie 13
134Zadanie 17
134Ćwiczenie 1
135Zadanie 1
138Zadanie 2
138Zadanie 3
138Zadanie 4
138Zadanie 5
138Zadanie 6
138Zadanie 7
138Ćwiczenie 1
141Ćwiczenie 2
141Zadanie 1
141Zadanie 2
142Zadanie 3
142Zadanie 4
142Zadanie 5
142Zadanie 6
142Zadanie 7
142Zadanie 8
142Zadanie 9
142Zadanie 1
151Zadanie 2
151Zadanie 3
151Zadanie 4
151Zadanie 5
151Ćwiczenie 1
152Zadanie 1
154Zadanie 2
154Zadanie 3
154Zadanie 4
154Zadanie 5
154Zadanie 6
154Ćwiczenie 1
156Ćwiczenie 4
157Zadanie 1
159Zadanie 2
159Zadanie 3
159Zadanie 4
159Zadanie 5
159Zadanie 6
159Zadanie 7
159Zadanie 1
164Zadanie 2
164Zadanie 3
164Zadanie 10
164Ćwiczenie 1
165Zadanie 1
172Zadanie 2
172Zadanie 3
173Zadanie 4
173Zadanie 13
173Zadanie 12
175Zadanie 13
175Zadanie 14
175Zadanie 17
177Zadanie 18
175Zadanie 19
175Zadanie 21
175Zadanie 26
174