W tym zadaniu musisz przekształcić dany w postaci ogólnej wzór funkcji kwadratowej do postaci kanonicznej.
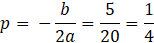
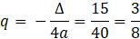
Ze wzoru w postaci ogólnej odczytaj współczynniki a, b, c. Oblicz wyróżnik kwadratowy (deltę) równania. Oblicz współrzędne p, q wierzchołka paraboli będącej wykresem funkcji. Podstaw współrzędne oraz współczynnik a do wzoru w postaci kanonicznej.
Ćwiczenie 1
99Ćwiczenie 2
100Ćwiczenie 4
101Zadanie 1
102Zadanie 2
102Zadanie 3
102Zadanie 4
102Zadanie 5
102Zadanie 6
102Zadanie 7
103Zadanie 8
102Zadanie 9
103Zadanie 1
107Zadanie 2
107Zadanie 3
107Zadanie 4
107Zadanie 5
107Zadanie 6
107Zadanie 7
107Zadanie 8
107Ćwiczenie 1
108Zadanie 1
114Zadanie 2
114Zadanie 3
114Zadanie 4
114Zadanie 5
114Zadanie 6
114Zadanie 7
114Zadanie 8
114Zadanie 9
114Zadanie 10
114Ćwiczenie 1
115Zadanie 1
117Zadanie 2
117Zadanie 3
117Zadanie 4
117Zadanie 1
124Zadanie 2
124Zadanie 3
125Zadanie 5
125Ćwiczenie 1
128Zadanie 4
128Zadanie 8
130Zadanie 1
133Zadanie 2
133Zadanie 3
133Zadanie 4
133Zadanie 5
133Zadanie 6
133Zadanie 7
133Zadanie 8
134Zadanie 9
134Zadanie 10
134Zadanie 11
134Zadanie 12
134Zadanie 13
134Zadanie 17
134Ćwiczenie 1
135Zadanie 1
138Zadanie 2
138Zadanie 3
138Zadanie 4
138Zadanie 5
138Zadanie 6
138Zadanie 7
138Ćwiczenie 1
141Ćwiczenie 2
141Zadanie 1
141Zadanie 2
142Zadanie 3
142Zadanie 4
142Zadanie 5
142Zadanie 6
142Zadanie 7
142Zadanie 8
142Zadanie 9
142Zadanie 1
151Zadanie 2
151Zadanie 3
151Zadanie 4
151Zadanie 5
151Ćwiczenie 1
152Zadanie 1
154Zadanie 2
154Zadanie 3
154Zadanie 4
154Zadanie 5
154Zadanie 6
154Ćwiczenie 1
156Ćwiczenie 4
157Zadanie 1
159Zadanie 2
159Zadanie 3
159Zadanie 4
159Zadanie 5
159Zadanie 6
159Zadanie 7
159Zadanie 1
164Zadanie 2
164Zadanie 3
164Zadanie 10
164Ćwiczenie 1
165Zadanie 1
172Zadanie 2
172Zadanie 3
173Zadanie 4
173Zadanie 13
173Zadanie 12
175Zadanie 13
175Zadanie 14
175Zadanie 17
177Zadanie 18
175Zadanie 19
175Zadanie 21
175Zadanie 26
174