W tym zadaniu musisz udowodnić podane twierdzenie.
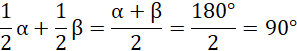
Dwusieczne dzielą kąty na dwie równe części, zatem jeśli
Oblicz miarę sumy kątów przyległych. Następnie oblicz sumę połowy ich miar.
Zadanie 3
100Zadanie 4
100Zadanie 5
100Zadanie 7
101Zadanie 8
101Zadanie 9
101Zadanie 11
102Zadanie 12
102Zadanie dla dociekliwych 3
103Zadanie 7
109Zadanie 8
110Zadanie 9
110Zadanie 10
110Ćwiczenie 1
114Ćwiczenie 3
116Zadanie 1
120Zadanie 2
120Zadanie 4
121Zadanie 9
122Zadanie 10
122Zadanie 11
122Ćwiczenie sprawdzające II
123Ćwiczenie 1
125Ćwiczenie 2
126Ćwiczenie 4
127Zadanie 1
128Zadanie 6
128Zadanie 7
128Ćwiczenie sprawdzające I
129Zadanie 1.1
130Zadanie 1.2
130Zadanie 1.8
130Zadanie 2.7
131