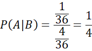
Wyznacz prawdopodobieństwo tego, że w drugim rzucie wypadła dwójka, jeśli iloczyn otrzymanych oczek jest równa 6.
Wypisz wszystkie zdarzenia sprzyjające podanym oraz oblicz ich ilość oraz ilość wszystkich zdarzeń elementarnych. Następnie skorzystaj ze wzoru na prawdopodobieństwo zdarzenia A pod warunkiem, że zaszło zdarzenie B:
Ćwiczenie 2
11Ćwiczenie 3
11Zadanie 5
13Zadanie 6
13Zadanie 7
13Zadanie 8
13Zadanie 9
13Zadanie 10
13Ćwiczenie 1
14Ćwiczenie 2
15Ćwiczenie 3
15Ćwiczenie 4
15Zadanie 1
16Zadanie 2
16Zadanie 3
16Zadanie 4
16Zadanie 5
16Zadanie 6
16Zadanie 7
16Zadanie 8
16Zadanie 9
17Zadanie 10
17Zadanie 11
17Zadanie 12
17Zadanie 13
17Zadanie 15
17Zadanie 16
17Ćwiczenie 1
19Ćwiczenie 2
17Zadanie 2
21Zadanie 3
21Zadanie 5
21Zadanie 8
21Zadanie 9
21Ćwiczenie 1
22Ćwiczenie 3
23Zadanie 1
23Zadanie 2
23Zadanie 3
23Zadanie 5
23Zadanie 6
24Zadanie 8
24Zadanie 9
24Zadanie 10
24Zadanie 11
24Zadanie 14
24Ćwiczenie 3
26Ćwiczenie 4
26Ćwiczenie 7
27Ćwiczenie 9
27Zadanie 1
28Zadanie 2
28Zadanie 3
28Zadanie 4
28Zadanie 5
28Zadanie 6
28Zadanie 8
28Zadanie 11
29Zadanie 13
29Zadanie 14
29Zadanie 15
29Ćwiczenie 1
30Ćwiczenie 3
30Ćwiczenie 4
31Zadanie 4
32Zadanie 5
32Zadanie 6
32Zadanie 7
32Zadanie 8
33Zadanie 9
33Zadanie 10
33Zadanie 13
33Zadanie 16
34Zadanie 17
34Zadanie 18
34Zadanie 1
35Zadanie 2
35Zadanie 3
35Zadanie 4
35Ćwiczenie 1
36Zadanie 4
38Ćwiczenie 1
40Ćwiczenie 2
41Ćwiczenie 3
41Zadanie 2
42Zadanie 3
42Zadanie 4
42Zadanie 5
42Zadanie 6
42Zadanie 8
42Zadanie 9
42Zadanie 10
43Zadanie 11
43Zadanie 13
43Zadanie 14
43Zadanie 15
43Ćwiczenie 2
45Ćwiczenie 4
46Ćwiczenie 6
46Zadanie 1
47Zadanie 2
47Zadanie 4
47Zadanie 5
47Zadanie 7
47Zadanie 9
47Zadanie 11
48Ćwiczenie 1
50Ćwiczenie 2
51Ćwiczenie 3
51Zadanie 1
52Zadanie 2
52Zadanie 3
52Zadanie 4
52Zadanie 5
52Zadanie 6
53Zadanie 9
53Zadanie 10
53Zadanie 12
53Zadanie 3
54Zadanie 4
54Ćwiczenie 2
56Ćwiczenie 3
56Ćwiczenie 2
59Ćwiczenie 3
60Ćwiczenie 4
60Zadanie 3
61Zadanie 5
61Zadanie 1
63Zadanie 11
65Zadanie 14
65Zadanie 15
65Ćwiczenie 1
68Ćwiczenie 2
68Zadanie 1
69Zadanie 2
69Zadanie 3
69Zadanie 4
69Zadanie 5
69Zadanie 6
69Zadanie 7
70Zadanie 10
70Zadanie 11
70Zadanie 12
70Ćwiczenie 2
72Ćwiczenie 3
72Ćwiczenie 4
73Zadanie 1
73Zadanie 2
73Zadanie 3
73Zadanie 4
74Zadanie 5
74Zadanie 6
74Zadanie 7
74Zadanie 1
75Zadanie 2
75Zadanie 1
77Zadanie 2
77Zadanie 3
77Zadanie 4
77Zadanie 6
77Zadanie 8
77Zadanie 9
77Zadanie 11
78Zadanie 12
78Zadanie 13
78Zadanie 1
79Zadanie 4
79Zadanie 6
79Zadanie 8
79Zadanie 9
80Zadanie 12
80Zadanie 13
80Zadanie 14
80Zadanie 15
80