W tym zadaniu, mając podane współrzędne wektorów:
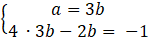
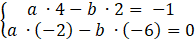
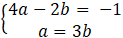
W pierwszym etapie rozwiązania oblicz współrzędne wektorów u + v oraz u – v. Następnie pomnóż otrzymane wektory przez liczby odpowiednio a i b (by pomnożyć wektor przez liczbę, pomnóż przez nią obie jego współrzędne). Kolejno odejmij otrzymane wektory (odejmując od siebie parami odpowiednie współrzędne). Ponieważ wiesz, jaki wynik powinniśmy otrzymać w wyniku tego działania, możesz zapisać układ równań (pierwsze równanie odpowiada za współrzędną X, drugie za Y).
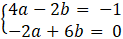
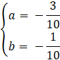
By rozwiązać układ równań, posłuż się metodą podstawiania – z drugiego równania wyznacz zmienną a i podstaw ją do pierwszego równania. Oblicz wartość liczbową zmiennej b, którą następnie wykorzystaj do obliczenia wartości a.
Zadanie 1
10Zadanie 2
10Zadanie 3
10Zadanie 4
10Zadanie 5
10Ćwiczenie 2
12Zadanie 1
18Zadanie 4
18Zadanie 5
18Zadanie 6
18Zadanie 7
19Zadanie 8
19Zadanie 9
19Zadanie 10
19Zadanie 11
19Zadanie 12
19Zadanie 13
19Zadanie 14
19Zadanie 15
20Ćwiczenie 4
23Zadanie 1
23Zadanie 2
24Zadanie 3
24Zadanie 4
24Zadanie 10
24Zadanie 11
24Zadanie 1
27Zadanie 3
27Zadanie 4
27Zadanie 5
27Zadanie 6
27Zadanie 7
27Zadanie 8
27Zadanie 1
31Zadanie 2
31Zadanie 3
31Zadanie 4
31Zadanie 5
31Zadanie 6
31Zadanie 7
31Zadanie 1
34Zadanie 2
34Zadanie 6
34Zadanie 1
38Zadanie 2
38Zadanie 3
38Zadanie 6
38Ćwiczenie 1
40Ćwiczenie 3
40Ćwiczenie 5
42Zadanie 2
44Zadanie 3
44Zadanie 4
44Zadanie 5
44Zadanie 6
44Zadanie 7
44Zadanie 1
47Zadanie 2
48Zadanie 3
48Zadanie 4
48Zadanie 5
48Zadanie 6
48Zadanie 7
48Zadanie 8
48Zadanie 9
48Ćwiczenie 1
49Zadanie 1
51Zadanie 2
51Zadanie 16
53Zadanie 17
54Zadanie 18
54Zadanie 19
54Zadanie 20
54Zadanie 21
54Zadanie 22
54Zadanie 23
54Zadanie 24
54Zadanie 26
55Zadanie 27
55Zadanie 28
55Zadanie 29
55Zadanie 30
55Zadanie 31
55Zadanie 32
55