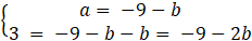
W tym zadaniu musisz znaleźć takie liczby a i b, by wektory
Odpowiadające współrzędne wektorów muszą być sobie równe, stąd powstał powyższy układ równań. Aby go rozwiązać (metodą podstawiania) w pierwszym kroku wyznacz z pierwszego równania a. Następnie otrzymaną wartość podstaw do drugiego równania, z którego wyznacz wartość liczbową zmiennej b. Otrzymaną wartość b podstaw do pierwszego równania i oblicz wynik.
Zadanie 1
10Zadanie 2
10Zadanie 3
10Zadanie 4
10Zadanie 5
10Ćwiczenie 2
12Zadanie 1
18Zadanie 4
18Zadanie 5
18Zadanie 6
18Zadanie 7
19Zadanie 8
19Zadanie 9
19Zadanie 10
19Zadanie 11
19Zadanie 12
19Zadanie 13
19Zadanie 14
19Zadanie 15
20Ćwiczenie 4
23Zadanie 1
23Zadanie 2
24Zadanie 3
24Zadanie 4
24Zadanie 10
24Zadanie 11
24Zadanie 1
27Zadanie 3
27Zadanie 4
27Zadanie 5
27Zadanie 6
27Zadanie 7
27Zadanie 8
27Zadanie 1
31Zadanie 2
31Zadanie 3
31Zadanie 4
31Zadanie 5
31Zadanie 6
31Zadanie 7
31Zadanie 1
34Zadanie 2
34Zadanie 6
34Zadanie 1
38Zadanie 2
38Zadanie 3
38Zadanie 6
38Ćwiczenie 1
40Ćwiczenie 3
40Ćwiczenie 5
42Zadanie 2
44Zadanie 3
44Zadanie 4
44Zadanie 5
44Zadanie 6
44Zadanie 7
44Zadanie 1
47Zadanie 2
48Zadanie 3
48Zadanie 4
48Zadanie 5
48Zadanie 6
48Zadanie 7
48Zadanie 8
48Zadanie 9
48Ćwiczenie 1
49Zadanie 1
51Zadanie 2
51Zadanie 16
53Zadanie 17
54Zadanie 18
54Zadanie 19
54Zadanie 20
54Zadanie 21
54Zadanie 22
54Zadanie 23
54Zadanie 24
54Zadanie 26
55Zadanie 27
55Zadanie 28
55Zadanie 29
55Zadanie 30
55Zadanie 31
55Zadanie 32
55