W tym zadaniu, mając podane współrzędne wektorów:
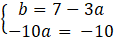
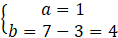
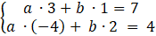
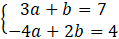
Aby pomnożyć wektor przez liczbę, pomnóż przez tę liczbę obie jego współrzędne. Aby obliczyć sumę wektorów dodaj parami odpowiednie współrzędne wektorów. Ponieważ wiesz, jakie wyniki powinieneś otrzymać (są to współrzędne wektora [7, 4]), możesz zapisać układ równań (pierwsze równanie odpowiada za współrzędną na osi X, drugie Y).
Układ rozwiąż metodą podstawiania, wyznaczając najpierw z pierwszego równania zmienną b. Podstaw ją do drugiego równania i oblicz wartość liczbową zmiennej a. Następnie wróć do równania, z którego wyznaczyłeś b i podstaw wartość a. Oblicz drugą zmienną.
Zadanie 1
10Zadanie 2
10Zadanie 3
10Zadanie 4
10Zadanie 5
10Ćwiczenie 2
12Zadanie 1
18Zadanie 4
18Zadanie 5
18Zadanie 6
18Zadanie 7
19Zadanie 8
19Zadanie 9
19Zadanie 10
19Zadanie 11
19Zadanie 12
19Zadanie 13
19Zadanie 14
19Zadanie 15
20Ćwiczenie 4
23Zadanie 1
23Zadanie 2
24Zadanie 3
24Zadanie 4
24Zadanie 10
24Zadanie 11
24Zadanie 1
27Zadanie 3
27Zadanie 4
27Zadanie 5
27Zadanie 6
27Zadanie 7
27Zadanie 8
27Zadanie 1
31Zadanie 2
31Zadanie 3
31Zadanie 4
31Zadanie 5
31Zadanie 6
31Zadanie 7
31Zadanie 1
34Zadanie 2
34Zadanie 6
34Zadanie 1
38Zadanie 2
38Zadanie 3
38Zadanie 6
38Ćwiczenie 1
40Ćwiczenie 3
40Ćwiczenie 5
42Zadanie 2
44Zadanie 3
44Zadanie 4
44Zadanie 5
44Zadanie 6
44Zadanie 7
44Zadanie 1
47Zadanie 2
48Zadanie 3
48Zadanie 4
48Zadanie 5
48Zadanie 6
48Zadanie 7
48Zadanie 8
48Zadanie 9
48Ćwiczenie 1
49Zadanie 1
51Zadanie 2
51Zadanie 16
53Zadanie 17
54Zadanie 18
54Zadanie 19
54Zadanie 20
54Zadanie 21
54Zadanie 22
54Zadanie 23
54Zadanie 24
54Zadanie 26
55Zadanie 27
55Zadanie 28
55Zadanie 29
55Zadanie 30
55Zadanie 31
55Zadanie 32
55