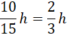
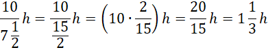
20 km : 2 = 10 km
10 km : 15 km/h
10 km : 7,5 km/h
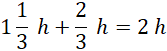
Podróż Wojtka trwała 2 godziny.
Podziel trasę z domu Wojtka do domu kolegi na dwie połowy, czyli przez 2. Następnie jedną część podziel przez podaną prędkość (15 km/h), obliczając czas przejazdu tej połowy trasy. Zrób tak samo z drugą częścią trasy, dzieląc ją przez drugą podaną prędkość (7,5 km/h). Dodaj oba obliczone czasy do siebie, otrzymując czas, jaki trwała podróż Wojtka od swojego domu do domu kolegi.