20 ∙ 1,5 m2 = 30 m2
20 krzewów potrzebuje powierzchni przynajmniej 30 m2.
27,5 < 30
Nie można posadzić 20 krzewów na tym obszarze.
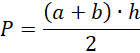
Oblicz pole powierzchni parku narysowanego na planie, używając wzoru na pole trapezu. Następnie oblicz jaką powierzchnię potrzebują krzewy, mnożąc ilość krzewów przez powierzchnię, jaką potrzebuje jeden krzew. Widzisz, że obliczone pole parku ma mniejszą powierzchnię niż powierzchnia, której potrzebują krzewy, więc nie można posadzić 20 krzewów w parku.