n – cena biletów normalnych
u – cena biletów ulgowych
12,50 zł – 7,50 zł = 5 zł
Ceny biletów różnią się o 5 zł.
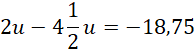
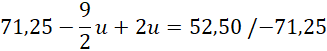
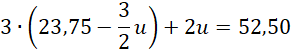
Oznacz cenę biletów normalnych jako n i cenę biletów ulgowych jako u. Utwórz dwa równania na podstawie treści zadania, dodając do siebie liczby poszczególnych biletów i przyrównując do ich ceny. Następnie rozwiąż jedno równanie tak, aby obliczyć wartość pojedynczego n. Podstaw wartość n pod drugie równanie i oblicz cenę biletu ulgowego. Znając cenę biletu ulgowego podstaw ją pod którekolwiek równanie i Rozwiąż je. Następnie odejmij cenę biletu ulgowego od ceny biletu normalnego obliczając różnice ich cen.