Twoim zadaniem jest stwierdzenie, czy podane zdanie jest prawdziwe.
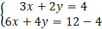
Odp. Zdanie jest prawdziwe.
Rozwiązujesz podany układ równań:
Zauważ, że otrzymujesz dwa takie same równania.
Zadanie 1.22.
120Zadanie 1.23.
121Zadanie 1.24.
121Zadanie 1.25.
121Zadanie 1.29.
122Zadanie 1.33.
122Zadanie 1.37.
123Zadanie 1.38.
123Zadanie 1.50.
125Zadanie 1.51.
125Zadanie 1.54.
125Zadanie 2.14.
128Zadanie 2.15.
128Zadanie 2.16.
128Zadanie 2.19.
129Zadanie 2.21
130Zadanie 2.23.
130Zadanie 2.27.
131Zadanie 2.28.
131Zadanie 2.29.
131Zadanie 2.31.
132Zadanie 2.33.
132Zadanie 2.35.
133Zadanie 2.36.
134Zadanie 2.38.
134Zadanie 2.39
134Zadanie 2.40.
134Zadanie 2.41.
135Zadanie 2.43.
135Zadanie 2.44.
135Zadanie 2.45.
135Zadanie 2.47.
135Zadanie 2.48.
135Zadanie 2.51.
135Zadanie 2.52.
136Zadanie 2.58.
136Zadanie 2.59.
136Zadanie 3.11.
140Zadanie 3.12.
140Zadanie 3.14.
140Zadanie 3.15.
141Zadanie 3.16.
141Zadanie 3.17.
141Zadanie 3.18.
141Zadanie 3.20.
141Zadanie 3.25.
142Zadanie 3.26.
142Zadanie 3.27.
142Zadanie 3.40.
143Zadanie 3.47.
144Zadanie 3.48
144Zadanie 3.49.
144Zadanie 3.58.
145Zadanie 3.59.
145Zadanie 4.16.
150Zadanie 4.20.
150Zadanie 4.21.
150Zadanie 4.23.
150Zadanie 4.24.
151Zadanie 4.33.
151Zadanie 4.34.
152Zadanie 4.35.
152Zadanie 4.39.
152Zadanie 5.16.
156Zadanie 5.18.
156Zadanie 5.19.
156Zadanie 5.20.
157Zadanie 5.27.
157Zadanie 5.29.
157Zadanie 5.30.
157Zadanie 5.31.
158Zadanie 5.34.
158Zadanie 5.35.
158Zadanie 6.14.
162Zadanie 6.15.
162Zadanie 6.16.
162Zadanie 6.17.
162Zadanie 6.21.
163Zadanie 6.23.
163Zadanie 6.39.
165Zadanie 6.51.
166Zadanie 6.56.
166Zadanie 7.34.
174Zadanie 8.26.
182Zadanie 8.27.
183Zadanie 8.28.
183Zadanie 8.29.
183Zadanie 8.30.
183Zadanie 8.31.
183Zadanie 8.32.
183Zadanie 8.33.
183Zadanie 8.34.
183Zadanie 8.35.
183Zadanie 8.37.
184Zadanie 8.39.
184Zadanie 8.42.
184Zadanie 8.49.
185Zadanie 8.54.
185Zadanie 8.57.
185Zadanie 8.58.
185Zadanie 8.59.
185Zadanie 8.61.
186Zadanie 9.13.
190Zadanie 9.14.
191Zadanie 9.16.
191Zadanie 9.18.
191Zadanie 9.23.
192Zadanie 9.24.
192Zadanie 9.25.
192Zadanie 9.26.
192Zadanie 9.33.
193Zadanie 9.34.
193Zadanie 9.43.
194Zadanie 9.45.
195Zadanie 9.46.
195Zadanie 10.13.
201Zadanie 10.14.
201Zadanie 10.17.
202Zadanie 10.26.
203Zadanie 10.52.
205