Masz sprawdzić, czy podane punkty są współliniowe.
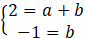
AB:
Prosta:
C:
Punkty są współliniowe.
Najpierw wyznaczasz równanie prostej z punktów
Zadanie 1.22.
120Zadanie 1.23.
121Zadanie 1.24.
121Zadanie 1.25.
121Zadanie 1.29.
122Zadanie 1.33.
122Zadanie 1.37.
123Zadanie 1.38.
123Zadanie 1.50.
125Zadanie 1.51.
125Zadanie 1.54.
125Zadanie 2.14.
128Zadanie 2.15.
128Zadanie 2.16.
128Zadanie 2.19.
129Zadanie 2.21
130Zadanie 2.23.
130Zadanie 2.27.
131Zadanie 2.28.
131Zadanie 2.29.
131Zadanie 2.31.
132Zadanie 2.33.
132Zadanie 2.35.
133Zadanie 2.36.
134Zadanie 2.38.
134Zadanie 2.39
134Zadanie 2.40.
134Zadanie 2.41.
135Zadanie 2.43.
135Zadanie 2.44.
135Zadanie 2.45.
135Zadanie 2.47.
135Zadanie 2.48.
135Zadanie 2.51.
135Zadanie 2.52.
136Zadanie 2.58.
136Zadanie 2.59.
136Zadanie 3.11.
140Zadanie 3.12.
140Zadanie 3.14.
140Zadanie 3.15.
141Zadanie 3.16.
141Zadanie 3.17.
141Zadanie 3.18.
141Zadanie 3.20.
141Zadanie 3.25.
142Zadanie 3.26.
142Zadanie 3.27.
142Zadanie 3.40.
143Zadanie 3.47.
144Zadanie 3.48
144Zadanie 3.49.
144Zadanie 3.58.
145Zadanie 3.59.
145Zadanie 4.16.
150Zadanie 4.20.
150Zadanie 4.21.
150Zadanie 4.23.
150Zadanie 4.24.
151Zadanie 4.33.
151Zadanie 4.34.
152Zadanie 4.35.
152Zadanie 4.39.
152Zadanie 5.16.
156Zadanie 5.18.
156Zadanie 5.19.
156Zadanie 5.20.
157Zadanie 5.27.
157Zadanie 5.29.
157Zadanie 5.30.
157Zadanie 5.31.
158Zadanie 5.34.
158Zadanie 5.35.
158Zadanie 6.14.
162Zadanie 6.15.
162Zadanie 6.16.
162Zadanie 6.17.
162Zadanie 6.21.
163Zadanie 6.23.
163Zadanie 6.39.
165Zadanie 6.51.
166Zadanie 6.56.
166Zadanie 7.34.
174Zadanie 8.26.
182Zadanie 8.27.
183Zadanie 8.28.
183Zadanie 8.29.
183Zadanie 8.30.
183Zadanie 8.31.
183Zadanie 8.32.
183Zadanie 8.33.
183Zadanie 8.34.
183Zadanie 8.35.
183Zadanie 8.37.
184Zadanie 8.39.
184Zadanie 8.42.
184Zadanie 8.49.
185Zadanie 8.54.
185Zadanie 8.57.
185Zadanie 8.58.
185Zadanie 8.59.
185Zadanie 8.61.
186Zadanie 9.13.
190Zadanie 9.14.
191Zadanie 9.16.
191Zadanie 9.18.
191Zadanie 9.23.
192Zadanie 9.24.
192Zadanie 9.25.
192Zadanie 9.26.
192Zadanie 9.33.
193Zadanie 9.34.
193Zadanie 9.43.
194Zadanie 9.45.
195Zadanie 9.46.
195Zadanie 10.13.
201Zadanie 10.14.
201Zadanie 10.17.
202Zadanie 10.26.
203Zadanie 10.52.
205