Twoim zadaniem jest wykonać działania.
Tutaj starasz się doprowadzić wynik działania do najprostszej postaci. Dziedzinę podajesz taką, aby w żadnym przypadku nie okazało się, że w mianowniku pojawia się zero.
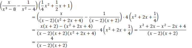
Zadanie 1.22.
120Zadanie 1.23.
121Zadanie 1.24.
121Zadanie 1.25.
121Zadanie 1.29.
122Zadanie 1.33.
122Zadanie 1.37.
123Zadanie 1.38.
123Zadanie 1.50.
125Zadanie 1.51.
125Zadanie 1.54.
125Zadanie 2.14.
128Zadanie 2.15.
128Zadanie 2.16.
128Zadanie 2.19.
129Zadanie 2.21
130Zadanie 2.23.
130Zadanie 2.27.
131Zadanie 2.28.
131Zadanie 2.29.
131Zadanie 2.31.
132Zadanie 2.33.
132Zadanie 2.35.
133Zadanie 2.36.
134Zadanie 2.38.
134Zadanie 2.39
134Zadanie 2.40.
134Zadanie 2.41.
135Zadanie 2.43.
135Zadanie 2.44.
135Zadanie 2.45.
135Zadanie 2.47.
135Zadanie 2.48.
135Zadanie 2.51.
135Zadanie 2.52.
136Zadanie 2.58.
136Zadanie 2.59.
136Zadanie 3.11.
140Zadanie 3.12.
140Zadanie 3.14.
140Zadanie 3.15.
141Zadanie 3.16.
141Zadanie 3.17.
141Zadanie 3.18.
141Zadanie 3.20.
141Zadanie 3.25.
142Zadanie 3.26.
142Zadanie 3.27.
142Zadanie 3.40.
143Zadanie 3.47.
144Zadanie 3.48
144Zadanie 3.49.
144Zadanie 3.58.
145Zadanie 3.59.
145Zadanie 4.16.
150Zadanie 4.20.
150Zadanie 4.21.
150Zadanie 4.23.
150Zadanie 4.24.
151Zadanie 4.33.
151Zadanie 4.34.
152Zadanie 4.35.
152Zadanie 4.39.
152Zadanie 5.16.
156Zadanie 5.18.
156Zadanie 5.19.
156Zadanie 5.20.
157Zadanie 5.27.
157Zadanie 5.29.
157Zadanie 5.30.
157Zadanie 5.31.
158Zadanie 5.34.
158Zadanie 5.35.
158Zadanie 6.14.
162Zadanie 6.15.
162Zadanie 6.16.
162Zadanie 6.17.
162Zadanie 6.21.
163Zadanie 6.23.
163Zadanie 6.39.
165Zadanie 6.51.
166Zadanie 6.56.
166Zadanie 7.34.
174Zadanie 8.26.
182Zadanie 8.27.
183Zadanie 8.28.
183Zadanie 8.29.
183Zadanie 8.30.
183Zadanie 8.31.
183Zadanie 8.32.
183Zadanie 8.33.
183Zadanie 8.34.
183Zadanie 8.35.
183Zadanie 8.37.
184Zadanie 8.39.
184Zadanie 8.42.
184Zadanie 8.49.
185Zadanie 8.54.
185Zadanie 8.57.
185Zadanie 8.58.
185Zadanie 8.59.
185Zadanie 8.61.
186Zadanie 9.13.
190Zadanie 9.14.
191Zadanie 9.16.
191Zadanie 9.18.
191Zadanie 9.23.
192Zadanie 9.24.
192Zadanie 9.25.
192Zadanie 9.26.
192Zadanie 9.33.
193Zadanie 9.34.
193Zadanie 9.43.
194Zadanie 9.45.
195Zadanie 9.46.
195Zadanie 10.13.
201Zadanie 10.14.
201Zadanie 10.17.
202Zadanie 10.26.
203Zadanie 10.52.
205