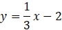
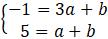
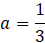
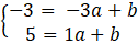
Masz napisać, jakie są równania boków trójkąta, którego wierzchołki opisano punktami
Bok AB:
Bok AC:
Bok BC:
Aby napisać równania każdego boku, musisz sprawdzić, jakie jest równanie prostej, która przechodzi przez punkty
Zadanie 1.22.
120Zadanie 1.23.
121Zadanie 1.24.
121Zadanie 1.25.
121Zadanie 1.29.
122Zadanie 1.33.
122Zadanie 1.37.
123Zadanie 1.38.
123Zadanie 1.50.
125Zadanie 1.51.
125Zadanie 1.54.
125Zadanie 2.14.
128Zadanie 2.15.
128Zadanie 2.16.
128Zadanie 2.19.
129Zadanie 2.21
130Zadanie 2.23.
130Zadanie 2.27.
131Zadanie 2.28.
131Zadanie 2.29.
131Zadanie 2.31.
132Zadanie 2.33.
132Zadanie 2.35.
133Zadanie 2.36.
134Zadanie 2.38.
134Zadanie 2.39
134Zadanie 2.40.
134Zadanie 2.41.
135Zadanie 2.43.
135Zadanie 2.44.
135Zadanie 2.45.
135Zadanie 2.47.
135Zadanie 2.48.
135Zadanie 2.51.
135Zadanie 2.52.
136Zadanie 2.58.
136Zadanie 2.59.
136Zadanie 3.11.
140Zadanie 3.12.
140Zadanie 3.14.
140Zadanie 3.15.
141Zadanie 3.16.
141Zadanie 3.17.
141Zadanie 3.18.
141Zadanie 3.20.
141Zadanie 3.25.
142Zadanie 3.26.
142Zadanie 3.27.
142Zadanie 3.40.
143Zadanie 3.47.
144Zadanie 3.48
144Zadanie 3.49.
144Zadanie 3.58.
145Zadanie 3.59.
145Zadanie 4.16.
150Zadanie 4.20.
150Zadanie 4.21.
150Zadanie 4.23.
150Zadanie 4.24.
151Zadanie 4.33.
151Zadanie 4.34.
152Zadanie 4.35.
152Zadanie 4.39.
152Zadanie 5.16.
156Zadanie 5.18.
156Zadanie 5.19.
156Zadanie 5.20.
157Zadanie 5.27.
157Zadanie 5.29.
157Zadanie 5.30.
157Zadanie 5.31.
158Zadanie 5.34.
158Zadanie 5.35.
158Zadanie 6.14.
162Zadanie 6.15.
162Zadanie 6.16.
162Zadanie 6.17.
162Zadanie 6.21.
163Zadanie 6.23.
163Zadanie 6.39.
165Zadanie 6.51.
166Zadanie 6.56.
166Zadanie 7.34.
174Zadanie 8.26.
182Zadanie 8.27.
183Zadanie 8.28.
183Zadanie 8.29.
183Zadanie 8.30.
183Zadanie 8.31.
183Zadanie 8.32.
183Zadanie 8.33.
183Zadanie 8.34.
183Zadanie 8.35.
183Zadanie 8.37.
184Zadanie 8.39.
184Zadanie 8.42.
184Zadanie 8.49.
185Zadanie 8.54.
185Zadanie 8.57.
185Zadanie 8.58.
185Zadanie 8.59.
185Zadanie 8.61.
186Zadanie 9.13.
190Zadanie 9.14.
191Zadanie 9.16.
191Zadanie 9.18.
191Zadanie 9.23.
192Zadanie 9.24.
192Zadanie 9.25.
192Zadanie 9.26.
192Zadanie 9.33.
193Zadanie 9.34.
193Zadanie 9.43.
194Zadanie 9.45.
195Zadanie 9.46.
195Zadanie 10.13.
201Zadanie 10.14.
201Zadanie 10.17.
202Zadanie 10.26.
203Zadanie 10.52.
205