Zadanie

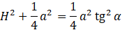
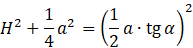
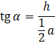
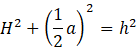
Wiesz, że wysokość ostrosłupa prawidłowego czworokątnego jest równa H oraz że 𝛼 to miara kąta znajdującego się między krawędzią boczną i krawędzią podstawy (45° < 𝛼 < 90°). W tym zadaniu musisz pokazać, że objętość V tego ostrosłupa wynosi .

Rozwiązanie

Wyjaśnienie

Zadania z tego działu
3. Powtórzenie
116
3.1. Liczby, wyrażenia algebraiczne
116

Zadanie 1.22.

120

Zadanie 1.23.

121

Zadanie 1.24.

121

Zadanie 1.25.

121

Zadanie 1.29.

122

Zadanie 1.33.

122

Zadanie 1.37.

123

Zadanie 1.38.

123

Zadanie 1.50.

125

Zadanie 1.51.

125

Zadanie 1.54.

125
3.2. Funkcje. Funkcja liniowa
126

Zadanie 2.14.

128

Zadanie 2.15.

128

Zadanie 2.16.

128

Zadanie 2.19.

129

Zadanie 2.21

130

Zadanie 2.23.

130

Zadanie 2.27.

131

Zadanie 2.28.

131

Zadanie 2.29.

131

Zadanie 2.31.

132

Zadanie 2.33.

132

Zadanie 2.35.

133

Zadanie 2.36.

134

Zadanie 2.38.

134

Zadanie 2.39

134

Zadanie 2.40.

134

Zadanie 2.41.

135

Zadanie 2.43.

135

Zadanie 2.44.

135

Zadanie 2.45.

135

Zadanie 2.47.

135

Zadanie 2.48.

135

Zadanie 2.51.

135

Zadanie 2.52.

136

Zadanie 2.58.

136

Zadanie 2.59.

136
3.3. Funkcja kwadratowa, wielomiany i funkcje wymierne
137

Zadanie 3.11.

140

Zadanie 3.12.

140

Zadanie 3.14.

140

Zadanie 3.15.

141

Zadanie 3.16.

141

Zadanie 3.17.

141

Zadanie 3.18.

141

Zadanie 3.20.

141

Zadanie 3.25.

142

Zadanie 3.26.

142

Zadanie 3.27.

142

Zadanie 3.40.

143

Zadanie 3.47.

144

Zadanie 3.48

144

Zadanie 3.49.

144

Zadanie 3.58.

145

Zadanie 3.59.

145
3.6. Ciągi liczbowe
159

Zadanie 6.14.

162

Zadanie 6.15.

162

Zadanie 6.16.

162

Zadanie 6.17.

162

Zadanie 6.21.

163

Zadanie 6.23.

163

Zadanie 6.39.

165

Zadanie 6.51.

166

Zadanie 6.56.

166
3.8. Geometria analityczna
178

Zadanie 8.26.

182

Zadanie 8.27.

183

Zadanie 8.28.

183

Zadanie 8.29.

183

Zadanie 8.30.

183

Zadanie 8.31.

183

Zadanie 8.32.

183

Zadanie 8.33.

183

Zadanie 8.34.

183

Zadanie 8.35.

183

Zadanie 8.37.

184

Zadanie 8.39.

184

Zadanie 8.42.

184

Zadanie 8.49.

185

Zadanie 8.54.

185

Zadanie 8.57.

185

Zadanie 8.58.

185

Zadanie 8.59.

185

Zadanie 8.61.

186
3.9. Rachunek prawdopodobieństwa i statystyka
187

Zadanie 9.13.

190

Zadanie 9.14.

191

Zadanie 9.16.

191

Zadanie 9.18.

191

Zadanie 9.23.

192

Zadanie 9.24.

192

Zadanie 9.25.

192

Zadanie 9.26.

192

Zadanie 9.33.

193

Zadanie 9.34.

193

Zadanie 9.43.

194

Zadanie 9.45.

195

Zadanie 9.46.

195