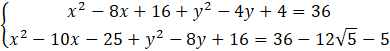
Masz wyznaczyć równanie stycznej do okręgów: o środku
Promień
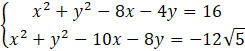
Układ równań:
Zauważ, że aby okręgi były styczne wewnętrznie, to odległość od ich środków to wartość bezwzględna różnicy promieni. Dzięki temu wyznaczysz długość promienia okręgu o środku
Zadanie 1.22.
120Zadanie 1.23.
121Zadanie 1.24.
121Zadanie 1.25.
121Zadanie 1.29.
122Zadanie 1.33.
122Zadanie 1.37.
123Zadanie 1.38.
123Zadanie 1.50.
125Zadanie 1.51.
125Zadanie 1.54.
125Zadanie 2.14.
128Zadanie 2.15.
128Zadanie 2.16.
128Zadanie 2.19.
129Zadanie 2.21
130Zadanie 2.23.
130Zadanie 2.27.
131Zadanie 2.28.
131Zadanie 2.29.
131Zadanie 2.31.
132Zadanie 2.33.
132Zadanie 2.35.
133Zadanie 2.36.
134Zadanie 2.38.
134Zadanie 2.39
134Zadanie 2.40.
134Zadanie 2.41.
135Zadanie 2.43.
135Zadanie 2.44.
135Zadanie 2.45.
135Zadanie 2.47.
135Zadanie 2.48.
135Zadanie 2.51.
135Zadanie 2.52.
136Zadanie 2.58.
136Zadanie 2.59.
136Zadanie 3.11.
140Zadanie 3.12.
140Zadanie 3.14.
140Zadanie 3.15.
141Zadanie 3.16.
141Zadanie 3.17.
141Zadanie 3.18.
141Zadanie 3.20.
141Zadanie 3.25.
142Zadanie 3.26.
142Zadanie 3.27.
142Zadanie 3.40.
143Zadanie 3.47.
144Zadanie 3.48
144Zadanie 3.49.
144Zadanie 3.58.
145Zadanie 3.59.
145Zadanie 4.16.
150Zadanie 4.20.
150Zadanie 4.21.
150Zadanie 4.23.
150Zadanie 4.24.
151Zadanie 4.33.
151Zadanie 4.34.
152Zadanie 4.35.
152Zadanie 4.39.
152Zadanie 5.16.
156Zadanie 5.18.
156Zadanie 5.19.
156Zadanie 5.20.
157Zadanie 5.27.
157Zadanie 5.29.
157Zadanie 5.30.
157Zadanie 5.31.
158Zadanie 5.34.
158Zadanie 5.35.
158Zadanie 6.14.
162Zadanie 6.15.
162Zadanie 6.16.
162Zadanie 6.17.
162Zadanie 6.21.
163Zadanie 6.23.
163Zadanie 6.39.
165Zadanie 6.51.
166Zadanie 6.56.
166Zadanie 7.34.
174Zadanie 8.26.
182Zadanie 8.27.
183Zadanie 8.28.
183Zadanie 8.29.
183Zadanie 8.30.
183Zadanie 8.31.
183Zadanie 8.32.
183Zadanie 8.33.
183Zadanie 8.34.
183Zadanie 8.35.
183Zadanie 8.37.
184Zadanie 8.39.
184Zadanie 8.42.
184Zadanie 8.49.
185Zadanie 8.54.
185Zadanie 8.57.
185Zadanie 8.58.
185Zadanie 8.59.
185Zadanie 8.61.
186Zadanie 9.13.
190Zadanie 9.14.
191Zadanie 9.16.
191Zadanie 9.18.
191Zadanie 9.23.
192Zadanie 9.24.
192Zadanie 9.25.
192Zadanie 9.26.
192Zadanie 9.33.
193Zadanie 9.34.
193Zadanie 9.43.
194Zadanie 9.45.
195Zadanie 9.46.
195Zadanie 10.13.
201Zadanie 10.14.
201Zadanie 10.17.
202Zadanie 10.26.
203Zadanie 10.52.
205