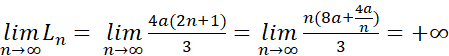
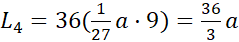
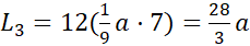
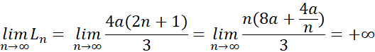
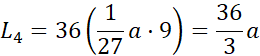
Należy obliczyć obwód n-tej figury powstałej przez opisany wyżej sposób oraz obliczyć, do jakiej wartości zbiega ten obwód, gdy n dąży do nieskończoności.
Zadanie 2.1.
43Zadanie 2.2.
43Zadanie 2.3.
43Zadanie 2.4.
43Zadanie 2.5.
43Zadanie 2.6.
43Zadanie 2.7.
44Zadanie 2.8.
44Zadanie 2.10.
44Zadanie 2.13.
44Zadanie 2.14.
44Zadanie 2.16.
45Zadanie 2.17.
45Zadanie 2.18.
45Zadanie 2.19.
45Zadanie 2.20.
45Zadanie 2.22.
46Zadanie 2.23.
46Zadanie 2.24.
46Zadanie 2.25.
46Zadanie 2.26.
46Zadanie 2.27.
47Zadanie 2.28.
47Zadanie 2.29.
47Zadanie 2.33.
47Zadanie 2.34.
47Zadanie 2.35.
48Zadanie 2.36.
48Zadanie 2.37.
48Zadanie 2.38.
48Zadanie 2.43.
48Zadanie 2.44.
48Zadanie 2.50.
49Zadanie 2.57.
50Zadanie 2.58.
50Zadanie 2.59.
50Zadanie 2.60.
50Zadanie 2.61.
50Zadanie 2.62.
50Zadanie 2.63.
50Zadanie 2.65.
51Zadanie 2.66.
51Zadanie 2.67.
51Zadanie 2.71.
51Zadanie 2.73.
51Zadanie 2.75.
51Zadanie 2.76.
52Zadanie 2.89.
53Zadanie 2.90.
53Zadanie 2.92.
54Zadanie 2.97.
54Zadanie 2.103.
55Zadanie 2.109.
55Zadanie 2.116.
56Zadanie 2.120.
56Zadanie 2.121.
56Zadanie 2.126.
57Zadanie 2.127.
57Zadanie 2.128.
57Zadanie 2.131.
57Zadanie 2.135.
58Zadanie 2.149.
60Zadanie 2.150.
60Zadanie 2.160.
61Zadanie 2.161.
61Zadanie 2.162.
61Zadanie 2.164.
62Zadanie 2.165.
62Zadanie 2.166.
62Zadanie 2.169.
62Zadanie 2.171.
63Zadanie 2.172.
63Zadanie 2.180.
64Zadanie 2.181.
64Zadanie 2.182.
64Zadanie 2.183.
64Zadanie 2.184.
64Zadanie 2.185.
65Zadanie 2.186.
65Zadanie 2.187.
65Zadanie 2.188.
65Zadanie 2.189.
65Zadanie 2.190.
66Zadanie 2.191.
66Zadanie 2.192.
66Zadanie 2.193.
66Zadanie 2.194.
66Zadanie 2.195.
67Zadanie 2.196.
67Zadanie 2.197.
67Zadanie 2.198.
67Zadanie 2.199.
67Zadanie 2.200.
68Zadanie 2.201.
68Zadanie 2.202.
68Zadanie 2.203.
68Zadanie 2.204.
68Zadanie 2.205.
68Zadanie 2.206.
69Zadanie 2.207.
69Zadanie 2.208.
69Zadanie 2.209.
69Zadanie 2.211.
70Zadanie 2.213.
70Zadanie 2.215.
70Zadanie 2.217.
70Zadanie 2.218.
70Zadanie 2.220.
71Zadanie 2.221.
71Zadanie 2.222.
71Zadanie 2.223.
71Zadanie 2.227.
72Zadanie 2.228.
72Zadanie 2.12.
74Zadanie 2.14.
74Zadanie 2.15.
75Zadanie 2.17.
75Zadanie 2.18.
75Zadanie 2.20.
75Zadanie 2.22.
75Zadanie 2.25.
76Zadanie 2.26.
76Zadanie 2.31.
76Zadanie 2.33.
77Zadanie 2.34.
77Zadanie 2.35.
77Zadanie 2.38.
77