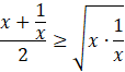
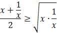
W tym zadaniu musisz wyznaczyć maksimum funkcji
Argumenty są jednak ujemne, więc aby nierówność zachodziła, należy odwzorować
Maksimum to -2.
By znaleźć to maksimum, możesz zastosować jedną z dwóch metod (których jest dużo więcej). Jedna z nich to wykonanie szkicu funkcji. Odczytaj następnie wartość maksymalną dla ujemnych argumentów. Druga metoda to skorzystanie z nierówności między średnią arytmetyczną i geometryczną. Mianowicie dla ciągu n liczb dodatnich oznaczonych jako „a” z indeksami zachodzi:
Niech
Rozwiązując to równanie otrzymasz, iż wartości funkcji są nie większe niż -2. Stąd wniosek, iż wartość maksymalna funkcji, to -2.
Zadanie 1.
120Zadanie 2.
121Zadanie 3.
121Zadanie 4.
121Zadanie 6.
121Zadanie 7.
122Zadanie 8.
122Zadanie 3.
126Zadanie 4.
126Zadanie 5.
126Zadanie 1.
132Zadanie 2.
133Zadanie 3.
133Zadanie 4.
133Zadanie 1.
136Zadanie 2.
136Zadanie 3.
137Zadanie 4.
137Zadanie 5.
137Zadanie 6.
137Zadanie 7.
137Zadanie 8.
137Zadanie 9.
137Zadanie 1.
142Zadanie 2.
142Zadanie 3.
143Zadanie 4.
143Zadanie 5.
143Zadanie 8.
143Zadanie 1.
149Zadanie 2.
149Zadanie 3.
149Zadanie 5.
149Zadanie 3.
159Zadanie 4.
159Ćwiczenie 1.
161Ćwiczenie 2.
162Ćwiczenie 3.
163Zadanie 1.
171Zadanie 2.
171Zadanie 3.
171Zadanie 4.
172Zadanie 5.
172Zadanie 6.
172Zadanie 7.
172Zadanie 1.
177Zadanie 2.
178Zadanie 3.
178Zadanie 4.
178Zadanie 5.
178Zadanie 6.
178Zadanie 10.
180Zadanie 11.
180